28 March 2010: Josh Powell Bankruptcy Documents - ALL

  • #21
JoshPowellBankruptcyPage20of31.jpg
 
  • #22
JoshPowellBankruptcyPage21of31.jpg
 
  • #23
JoshPowellBankruptcyPage22of31.jpg
 
  • #24
JoshPowellBankruptcyPage23of31.jpg
 
  • #25
JoshPowellBankruptcyPage24of31.jpg
 
  • #26
JoshPowellBankruptcyPage25of31.jpg
 
  • #27
JoshPowellBankruptcyPage26of31.jpg
 
  • #28
JoshPowellBankruptcyPage27of31.jpg
 
  • #29
JoshPowellBankruptcyPage28of31.jpg
 
  • #30
JoshPowellBankruptcyPage29of31.jpg
 
  • #31
JoshPowellBankruptcyPage30of31.jpg
 
  • #32
JoshPowellBankruptcyPage31of31.jpg
 
  • #33

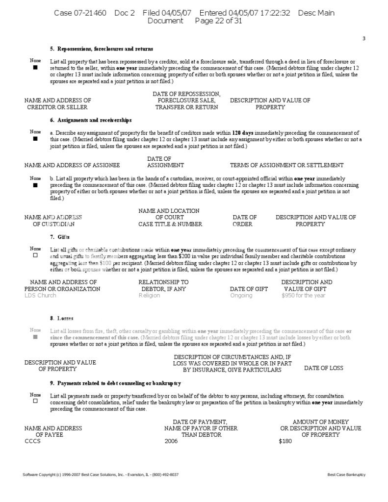
Josh has to come up with $1,701.33 per month to pay Countrywide Home Loans and Spokane Teacher's Credit Union? It appears he took out a second loan on the Sarah Circle home and the $323.00 per month is van payments.

I have to wonder how much he rented out SUSAN'S home for and how he is coming up with the extra money to pay these three creditors in full each month!
 
  • #34
  • #35
I note that the Benchcraft debt is disputed. A google for Benchcraft in Portland brought up this link:

http://www.complaintsboard.com/complaints/bench-craft-company-c51878.html

Assuming it's the same company, one wonder if they really did any work for him, overcharged for work done so he disputed it, or possibly if he selected them for their bad reputation, knowing he would later refuse to pay.

I would be very dubious about a company that gives a PO box number instead of a proper street address.

I also wonder about Chase allowing him to run up a debt of nearly $20,000 on a credit card. Not about Josh's ability to spend that amount, we know he is capable of that, but about why a supposedly reputable bank would allow a young man of his (then) weak track record to have a credit limit that high.
 
  • #36
Does $323 a month repayments sound like a lot for a van?

It's on the high side for adverts I've seen on TV, but I think those may be just for rentals - i.e. you pay $XYZ a month for 24, 36 or 60 months to use the vehicle, but at the end of that period it returns to the rental company.

It seems like Josh wanted a brand new van to swan around in (while Susan cycled), when a second-hand van could have filled his family and business needs and been a lot less of a strain on her monthly pay packet.
 
  • #37
Does $323 a month repayments sound like a lot for a van?

No, but its really dependent on the terms of the loan (mostly the length) and the amount of the down payment.

And, yes, most people would be better off in the long run if they reduced their car expenses by buying quality used vehicles.
 
  • #38
Does $323 a month repayments sound like a lot for a van?

It's on the high side for adverts I've seen on TV, but I think those may be just for rentals - i.e. you pay $XYZ a month for 24, 36 or 60 months to use the vehicle, but at the end of that period it returns to the rental company.

It seems like Josh wanted a brand new van to swan around in (while Susan cycled), when a second-hand van could have filled his family and business needs and been a lot less of a strain on her monthly pay packet.

I think they were probably purchasing and not just leasing the van; but, I agree with you, a used vehicle instead of brand new one was for image only......Josh's. The money saved on gas by Susan riding the bike, growing her own vegetables, etc. I'm surprised he didn't make her use a old manual push mower--the kind that look like a set of trike wheels with a handle. Susan had three kids she was sacrificing for and breaking her A.
I know no one wants to go there....but Josh was the oldest male, and I would venture to guess he was made and expected to do quite a bit--not by choice. I can picture Pop demeaning him--constantly; afterall, he didn't have the wife around to do that to anymore. Hope he's happy at what he helped "produce". From this, I think he (JP) played King Tut of the household from the beginning, and Susan being a new wife....had no idea of the depth of this character.
 
  • #39
** I found it! I missed the entire co debtor information on the first page ***

Thanks
Kelly
 
  • #40
I have a Chrysler Town and Country, used (it's a 2008) and my paymnet is $400 a month since my exhusband, without my knowledge, ruined my credit. It was the lowest payment I could get on any car so I went for saftey and big enough to transport my 3 kids and friends back and forth to all of their activities. $323 doesn't seem that high to me for a van like that, they are very expensive to begin with. I would assume with a paymrnt like that that either A. it's a lease, B. It's used and he had decent enough credit at the time to buy it, or C. He had a co-signer and a good down payment from some where.
 

Guardians Monthly Goal

Members online

Online statistics

Members online
128
Guests online
2,721
Total visitors
2,849

Forum statistics

Threads
639,714
Messages
18,747,519
Members
244,528
Latest member
Suzubel11!
Back
Top