ID - DeOrr Kunz, Jr., 2, Timber Creek Campground, 10 July 2015 - #27

Status
Not open for further replies.
  • #841
Turning off your phone will not conceal your movements it still pings and law enforcement could still track you.

That's interesting... I did not realize that... So, only if the battery is completely dead or removed would it result in no pings? I wonder if her phone was at the campground all night while it was turned off then. Interesting.
 
  • #842
Can someone please post a link from an official source that states JM turned off her phone?
 
  • #843
Phones don't ping when they are off and they especially don't ping when the battery is dead.
 
  • #844
Can someone please post a link from an official source that states JM turned off her phone?
I don't believe there is one and I never even heard it as a rumor. No clue why it's being discussed.
 
  • #845
http://www.postregister.com/article...ditorial-balanced-coverage-kunz-disappearance

Posted: July 24, 2016 1:54 a.m

"Local news media are essentially conducting their own investigations into the case when they interview parties close to it. Unless we have some reason to believe law enforcement is acting improperly in a case, journalists are obliged to let the police and prosecutors do their work. By giving unedited voice to people close to the Kunz case, local media are simply “bowing to lurid curiosity” and not striking the proper balance between a suspect’s right to a fair trial and the public’s right to know."


Chelsea won't like this!
 
  • #846
I think there's a possibility they were all smashed. Makes me go back to an earlier theory that someone reversed into DeOrr while drink driving, they put him to bed but woke up to find him dead. Maybe grandpa was driving, Vernal suggested leaving him til morning or drove to hide the body, still drunk , Isaac was completely out of it and kept it n the dark, and Jessica - covering for grandpa/vernal and scared about her other kids - agreed to whatever in her drunk/hungover state.

Not even sure I believe that theory but it would fit a few of the Things We Know.

I also think it's a possibility, the smashed part. If you recall, Klein mentioned there being some "axillary issues" concerning GGP and IR , but wouldn't disclose what they were. This was in the January 28th radio interview. And now more recently, Sheriff B has come out and stated that none of the four that were at the campground can be cleared. Sorry, I don't have the links, but they're in the media thread and I don't have time to retrieve them again. (This is the second time I've written this post, for some reason I lost the entire page including my post and couldn't get it back, it whited out on me, don't know if it was the site or maybe it's an iPad thing. )

Anyway, IF all four were involved due to being inebriated, they all have some degree of culpability. Even if it was just making a bad judgment and being pressured / manipulated to go along with some sort of cover up. If under the influence when something happened, would this not fall under some sort of manslaughter charges? Does anyone know, the law probably varies from state to state. But whatever it is, they all seem to be taking the stand, in the words of GGP , "what's done is done". This is a speculative theory only and just MOHO.
 
  • #847
Maybe Bob and Isaac drank all the whiskey and are just covering for themselves....
If the entire trip was planned as a cover-up, perhaps the goal was to get IR so inebriated that he couldn't be certain of anything.
 
  • #848
http://www.postregister.com/article...ditorial-balanced-coverage-kunz-disappearance

Posted: July 24, 2016 1:54 a.m

"Local news media are essentially conducting their own investigations into the case when they interview parties close to it. Unless we have some reason to believe law enforcement is acting improperly in a case, journalists are obliged to let the police and prosecutors do their work. By giving unedited voice to people close to the Kunz case, local media are simply “bowing to lurid curiosity” and not striking the proper balance between a suspect’s right to a fair trial and the public’s right to know."


Chelsea won't like this!
The interviews with the parents or Klein are just restating what's said by those same ppl on social media. It's also their decision to be interviewed. I don't see this as the media doing their own investigations, they're just giving these people a better platform than social media to get their voice heard.
 
  • #849
Can someone please post a link from an official source that states JM turned off her phone?

It's been discussed in several places (texts Jessica sent her mom telling her she was turning her phone off), however I'm not sure it's been reported from an official source, so consider it rumor/speculation. Regardless of whether her phone was on or off, I have a feeling that the parents may have been doing other things besides sleeping in the Suburban all night Thursday... my opinion only.
 
  • #850
I am usually a lurker and not a poster. But I have read each and every one of these 27 threads since the beginning. I was re-reading the Bella’s Friends: Unidentified and Missing Children Q & A with Klein from 1/20/16 and this response from Klein has always had me baffled. (Spelling is as written in post)

Question: I just really want to know how long was his parents gone for when they went for a walk and also did they just wonder of without even asking grandfather to look after baby Deorr

Klein: Your question is under false pretence. The senario you lay out is myth.

https://www.facebook.com/bellasfriendsuamc/posts/1688440941411392

What a weird way to answer this. To me this means that there was no exploring, looking at minnows, fishing, or any other walk away from GGP and Deorr. Yet this exploring walk keeps getting brought up in interviews and Q & As. If this walk is a myth then what really happened to Deorr. I guess I’m not really asking a question just stating something that has always bugged me. One more bug and then I’ll quit. Why does JMA never refer to her son as Deorr?
JMOO
 
  • #851
I am usually lurker and not a poster. But I have read each and every one of these 27 threads since the beginning. I was re-reading the Bella’s Friends: Unidentified and Missing Children Q & A with Klein from 1/20/16 and this response from Klein has always had me baffled. (Spelling is as written in post)

Question: I just really want to know how long was his parents gone for when they went for a walk and also did they just wonder of without even asking grandfather to look after baby Deorr

Klein: Your question is under false pretence. The senario you lay out is myth.

https://www.facebook.com/bellasfriendsuamc/posts/1688440941411392

What a weird way to answer this. To me this means that there was no exploring, looking at minnows, fishing, or any other walk away from GGP and Deorr. Yet this exploring walk keeps getting brought up in interviews and Q & As. If this walk is a myth then what really happened to Deorr. I guess I’m not really asking a question just stating something that has always bugged me. One more bug and then I’ll quit. Why does JMA never refer to her son as Deorr?
JMOO

Sheriff Bowerman is thinking that DeOrr was deceased before Timber Creek so of course the walk is a myth - everything the parents say about DeOrr is a myth because DeOrr likely wasn't even at Timber Creek. Jessica doesn't refer to her son by his name because it might hit the one emotional nerve she has buried in the depths of her soul. My opinion only.
 
  • #852
The phone still pings. Phones have two operating systems one the consumer uses and one that communicates between the phone and carrier. The only way to stop this is by removing the battery:
"So if you truly want to go off-grid in a hurry, remove the battery. Of course, many modern smartphones, like the iPhone 6 and the Galaxy S6, don’t let you do that. So maybe the movies weren’t exaggerating after all: You may have to smash or ditch that smartphone if you really want to evade surveillance entirely."
 
  • #853
In a recent article from E Idaho News the lead investigator in DeOrr's case states he believes DeOrr was at the campground:
Penner: There’s a lot of speculation and there’s a lot of different theories out there concerning that. Being there so early on and being part of the investigation, I believe that he was there. I don’t have any hard evidence to at this point to suggest that he wasn’t.

Having followed this case from the start, I don't feel like we are much further along then we were 6 months ago. I'm hoping that the parents split will amount to a divided we fall scenario.
 
  • #854
FYI, Klein has posted a new report on their FB.
 
  • #855
I am usually a lurker and not a poster. But I have read each and every one of these 27 threads since the beginning. I was re-reading the Bella’s Friends: Unidentified and Missing Children Q & A with Klein from 1/20/16 and this response from Klein has always had me baffled. (Spelling is as written in post)

Question: I just really want to know how long was his parents gone for when they went for a walk and also did they just wonder of without even asking grandfather to look after baby Deorr

Klein: Your question is under false pretence. The senario you lay out is myth.

https://www.facebook.com/bellasfriendsuamc/posts/1688440941411392

What a weird way to answer this. To me this means that there was no exploring, looking at minnows, fishing, or any other walk away from GGP and Deorr. Yet this exploring walk keeps getting brought up in interviews and Q & As. If this walk is a myth then what really happened to Deorr. I guess I’m not really asking a question just stating something that has always bugged me. One more bug and then I’ll quit. Why does JMA never refer to her son as Deorr?
JMOO

It was a weird answer, my opinion, there have to be some typos and words accidentally omitted in that answer. I have to think this way, because otherwise the answer sounds like it was written by someone whose first language is not English, LOL. Maybe it was supposed to be something like "The answer to your question is, it was under false pretense. " Just a thought and jmo.
 
  • #856
The phone still pings. Phones have two operating systems one the consumer uses and one that communicates between the phone and carrier. The only way to stop this is by removing the battery:
"So if you truly want to go off-grid in a hurry, remove the battery. Of course, many modern smartphones, like the iPhone 6 and the Galaxy S6, don’t let you do that. So maybe the movies weren’t exaggerating after all: You may have to smash or ditch that smartphone if you really want to evade surveillance entirely."

You're getting your info from a guy that works at a mobile security company, not sure if I trust that. From what I've gathered it's only possible for a modern phone to be tracked while off if the OS has been altered with spyware or if the phone's hardware is modified.

"When a mobile device running the Android Operating System is powered off, there is no part of the Operating System that remains on or emits a signal," Google told Privacy International.

Similarly, Samsung Vice President Hyunjoon Kim wrote: "Without the [mobile phone's] power source, it is not possible to transmit any signal, due to the components being inactive. Thus the powered-off devices are not able to be tracked or monitored by any 3rd party." (You can read Samsung's letter on Privacy International's website.)

http://www.tomsguide.com/us/nsa-track-off-mobiles,news-17851.html
 
  • #857
In a recent article from E Idaho News the lead investigator in DeOrr's case states he believes DeOrr was at the campground:
Penner: There’s a lot of speculation and there’s a lot of different theories out there concerning that. Being there so early on and being part of the investigation, I believe that he was there. I don’t have any hard evidence to at this point to suggest that he wasn’t.

Having followed this case from the start, I don't feel like we are much further along then we were 6 months ago. I'm hoping that the parents split will amount to a divided we fall scenario.

I think Penner is using the absence of evidence to rule out nothing while Bowerman is starting to use the absence of evidence to rule in something (that DeOrr wasn't there). It's kind of a catch-22. There is no hard evidence that DeOrr was there but there is also no hard evidence that he wasn't there. The latter would certainly be infinitely harder to find. Proof that DeOrr was there should not be that hard and yet there is nothing and not one witness remembers seeing the boy.
 
  • #858
I will forever grit my teeth and roll my eyes when I hear anyone referring to their little boy as "little man" for the rest of my life! I never cared for that reference and now I dislike it even more!
 
  • #859
FYI, Klein has posted a new report on their FB.

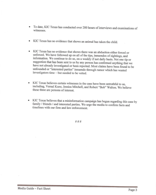
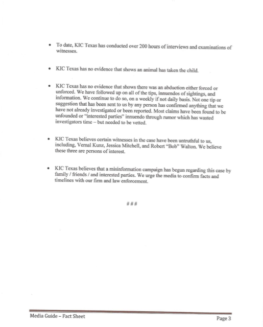
Media Fact Sheet on DeOrr Kunz Case
dc2e1254ae6d0602a78051300db542c1.jpg

484f74e88f2c81403835fef7743884dd.jpg

63ba6dac0a79a35bc8c308c956cbce10.jpg


https://m.facebook.com/story.php?story_fbid=1058711067544810&id=443864945696095


Sent from my iPhone using Tapatalk
 
  • #860
I will forever grit my teeth and roll my eyes when I hear anyone referring to their little boy as "little man" for the rest of my life! I never cared for that reference and now I dislike it even more!

You and me both, forever grit my teeth, roll my eyes, AND :gaah:
I don't think she can even say his name. :cry: All JMHO
 
Status
Not open for further replies.

Guardians Monthly Goal

Members online

Online statistics

Members online
118
Guests online
1,473
Total visitors
1,591

Forum statistics

Threads
636,543
Messages
18,699,064
Members
243,744
Latest member
truthninja57
Back
Top