GUILTY OH - Sheriff Charles Reader, charged with theft in office, Pike Co, 29 Jun 2019

  • #41
Thanks for posting the link, I was in a rush and forgot to. :oops: I wish I could say more but not a good idea right now... sorry.

#I stand with Charlie.

No prob. I respect your decision to not say more..;)
 
Last edited:
  • #42
  • #43
  • #44
Thank you. Go to casetext and look up Slusher Vs Reader.
Jmo one of his biggest problems has been social media. Exactly why the judge told him to stay off jmo
 
  • #45
Thank you. Go to casetext and look up Slusher Vs Reader.

Sheriff Reader's Indictment alleges he stole money and vehicles from his Office as Sheriff and because
similar complaints came up in the MSM during the Sheriff's election, I think it's relevant that you bring it up.

I remember Slusher ran against Reader in the Sheriff's election and accused him of money mismanagement and using his Sheriff 's vehicle for personal errands. Everything got cleared up though, nothing came of it. Can't link because it's a pay site.

"It was only alleged that Reader and his campaign committee committed a series of violations regarding campaign finance laws, and, “based on the complaint and response”, no fines were imposed and the matter was not referred for further prosecution."

"The Ohio Elections Commission received a statement from the sheriff’s campaign treasurer that she filed amended campaign finance reports with the County Board of Elections that corrected all of the issues identified in the complaint.
 
  • #46
Jmo I read an article that Reader and his spokesman parted ways. Probably a good decision on Readers part jmo
 
  • #47
Doubtful. He's probably just upset that he's being investigated for things other county employees/officeholders do.
For what other employees/officeholders do? Reader would never get By with this bs anywhere else. Stealing money, tampering with evidence etc. those are some very serious charges against CR. They caught him red handed stealing out the cookie jar
 
  • #48
Thanks for posting the link, I was in a rush and forgot to. :oops: I wish I could say more but not a good idea right now... sorry.

#I stand with Charlie.
Do you think Charlie should be allowed to take confiscated drug money? With all the hard work he does, he probably feels like he deserves it. He deserves the key to the city you think?
 
  • #49
Jmo I read an article that Reader and his spokesman parted ways. Probably a good decision on Readers part jmo

Yes. Look what he said about Reader with no facts to back it up. To say his (Reader's) investigations upset a lot of people is his opinion/hearsay.

Caylee AdvocateWell-Known Member [/QUOTE]

The sheriff’s spokesperson, Derek Myer, said in late June:

“(Reader) launched investigations in this county that have upset a lot of people, and as a result, the sheriff has a big target on his back, and there are people in this county that don't want to see him succeed."
 
  • #50
For what other employees/officeholders do? Reader would never get By with this bs anywhere else. Stealing money, tampering with evidence etc. those are some very serious charges against CR. They caught him red handed stealing out the cookie jar


Proof??
 
  • #51
Do you think Charlie should be allowed to take confiscated drug money? With all the hard work he does, he probably feels like he deserves it. He deserves the key to the city you think?


I assume you have PROOF, so let's see it. JMO/
 
  • #52
Yes. Look what he said about Reader with no facts to back it up. To say his (Reader's) investigations upset a lot of people is his opinion/hearsay.

Caylee AdvocateWell-Known Member

The sheriff’s spokesperson, Derek Myer, said in late June:

“(Reader) launched investigations in this county that have upset a lot of people, and as a result, the sheriff has a big target on his back, and there are people in this county that don't want to see him succeed."[/QUOTE]


Derek is a real tool with lots of issues himself. JMO
 
  • #53
For what other employees/officeholders do? Reader would never get By with this bs anywhere else. Stealing money, tampering with evidence etc. those are some very serious charges against CR. They caught him red handed stealing out the cookie jar

Sad to say, this is not unusual in many police departments in the U.S. Keep in mind he's only been charged with these offenses and is innocent until proven guilty in court.

And none of this is related to the Rhoden/Gilley murder investigation. At all.
 
  • #54
Jmo I read an article that Reader and his spokesman parted ways. Probably a good decision on Readers part jmo

Friendly reminder, please post a link. Thanks!
 
  • #55
  • #56
  • #57
  • #58
  • #59
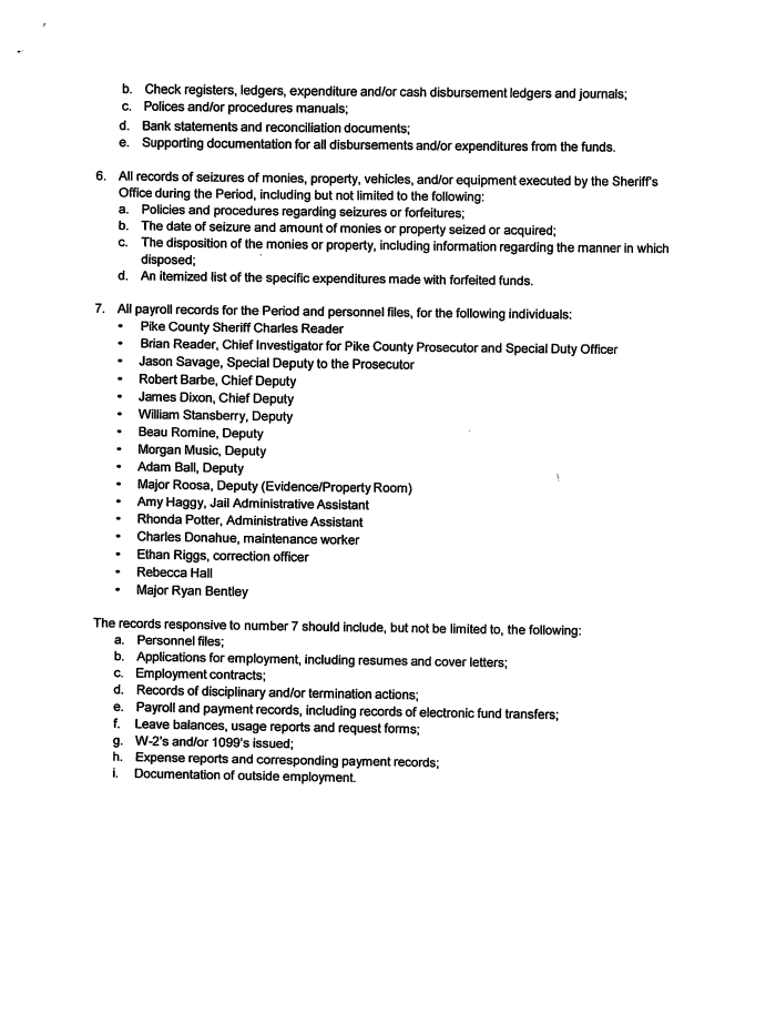
18-SUBPOENA-p1-normal.gif


18-SUBPOENA-p2-normal.gif


18-SUBPOENA-p4-normal.gif




18-SUBPOENA-p5-normal.gif




18-SUBPOENA-p3-normal.gif
 
  • #60
D
 
Last edited:

Guardians Monthly Goal

Staff online

Members online

Online statistics

Members online
145
Guests online
683
Total visitors
828

Forum statistics

Threads
635,767
Messages
18,684,180
Members
243,389
Latest member
vivian.manzzini
Back
Top