TX TX - Heidi Broussard, 33, Fnd Deceased, & Margo Carey, 2 weeks, Fnd Alive, Austin, 12 Dec 2019 #11

Status
Not open for further replies.
  • #381
All of those online searches that MF did of HB's name between November 11th and December 18th are nagging at me. I get why she searched her name after December 12th, but why was she searching Heidi's name before this all went down?

Is there any remote possibility that MF had tried to convince someone to harm Heidi (before she gave birth) and that person never followed through? Perhaps MF planned for that person to steal Heidi's baby from the womb for her, and when that didn't pan out....she went forward with a different plan?

Page 6 of AA
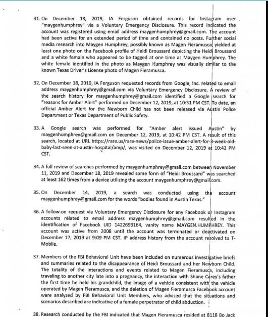
Section 34
"A full review of searches performed by [email protected] between November 11th and December 18th revealed some form of "Heidi Broussard" was searched at least 162 times from a device utilizing the account [email protected]."
View attachment 225002


I am betting the results of her online searches are going to be shocking once the info comes out.

I wondered that too, but 11/11-12/18 may just be the period they had the warrant for, not the period of time in which the searches took place. It might not mean what it appears to mean.

That aside, it's incredibly chilling.
 
  • #382
I wondered that too, but 11/11-12/18 may just be the period they had the warrant for, not the period of time in which the searches took place. It might not mean what it appears to mean.

That aside, it's incredibly chilling.

Good point. Plus to go back several months would take much longer, imo.
 
  • #383
Can I challenge an AOP signed by someone else if I think I’m the child’s true genetic father?
No. But you may ask a court to order that you are the child’s legal father by filing a paternity case if you didn’t sign the AOP (or any accompanying DOP) and:

  • it has been less than 4 years since the effective date of the AOP, or
  • the AOP is void.
Use this toolkit to ask for a paternity order: I need a paternity order.
How to Take Back (Rescind or Challenge) an AOP or DOP

^^^^^^

Posting this to explain why establishing baby M’s paternity was crucial. Even if SC signed the AOP (acknowledgement of paternity) other men could still claim to be the bio during the first 4 years.
 
  • #384
I wondered that too, but 11/11-12/18 may just be the period they had the warrant for, not the period of time in which the searches took place. It might not mean what it appears to mean.

That aside, it's incredibly chilling.

Good morning everyone!

I agree that it might not mean what it appears to mean. She could have searched her name 1 time on November 11, for whatever reason, and the other 161 searches could have been after the 12th and they could still say between 11/11-12/18.

I have wondered if searches on FB would have appeared in that query, or instagram searches? I had considered that she was 'social media stalking' her, but not sure if they would show up under her google searches. I actually tried it myself the other day haha Did a facebook search from my FB account, then checked my history and it didn't show that search, but no idea if LE was able to get more from Google than what we see in the basic 'History' in chrome.
 
  • #385
Every MSM news article that I've read says that the tests were done to DETERMINE THE IDENTITY of the baby.
Maternal (or mitochondrial) DNA matches are not generally accepted by courts as positive identification. Mitochondrial DNA, which is half of the component, is absolutely identical from mother to daughter and is a relatively quick set of lab tests, but because there can be so many females in a family tree with the same mitochondrial DNA, the identification is considered an indication, not a certainty. The father's component is highly variable from father to child, and thus much more complex to test.
CG indicated to police that the baby at his house was suffering from jaundice, which can be the principal visible symptom of RH factor incompatibility of the parents, and most often becomes a risk in the mother's second birth child. In severe cases, the baby is given massive blood transfusions through the navel. If there is any risk at all, hospitals routinely do extensive blood testing to be fully prepared for the possibility. Two weeks after birth, the "tests that they did at the hospital" could contain or produce the full DNA panel required for positive identification.
I am certainly not a medical professional, but I am an RH factor parent of three children, so it's JMO
True but the discussion arose when the delay occurred in returning the baby to her home, the home she had shared with Heidi and Shane. MF is claiming the baby was hers. Even though it's unlikely she ever held any birth records for a live live birth, they still had to prove it was Heidi's baby and not Meghans' in order to release the baby to her home.
It became confused because two wannabe-famous wasters decided to grab some attention for their nondescript and probably useless lives by having a go at inserting themselves in the situation.
I don't know who fathered Heidi's baby.
I don't even know if Shane knows at this point in time.
 
  • #386
MF's 162 online searches, between 11/11 and 12/18, for some variation of "Heidi Broussard" struck me as strange at first too.

If it turns out that the vast majority occurred after she 12/12 and the ones before that were simply to link to Heidi's FB page (or something like that), then it won't seem strange at all.

I can see MF scouring the net for news about her crime.

(Edit: Sorry Missy1974 -- just saw your post!)




.
 
  • #387
Good morning everyone!

I agree that it might not mean what it appears to mean. She could have searched her name 1 time on November 11, for whatever reason, and the other 161 searches could have been after the 12th and they could still say between 11/11-12/18.

I have wondered if searches on FB would have appeared in that query, or instagram searches? I had considered that she was 'social media stalking' her, but not sure if they would show up under her google searches. I actually tried it myself the other day haha Did a facebook search from my FB account, then checked my history and it didn't show that search, but no idea if LE was able to get more from Google than what we see in the basic 'History' in chrome.
It kinda sounds a little like an identity theft type thing.... maybe.
She could have just phoned her and asked her anything she wanted to know though.
So it's looking like she needed to know what info was publicly available for Heidi.
 
  • #388
oh paternity certainly does matter, they could not “give” Margo to just any male. Here’s the quote again: We do ask for DNA to be tested to make sure that the people who are coming forward and saying that they’re relatives are actually relatives,” Tiffani Butler with the Department of Family and Protective Services told ABC 13?
Imo
because Margo was determined to be HB’s child it was still necessary to determine who fathered her. How could any child be returned to anyone that just “claimed” to be any relative w/o dna testing? That would be frightening.
Moo
Ty said this:
Baby Margot reunited with father in Austin after mother found dead near Houston

“I don’t know about the DNA test, but they’re just putting her back where she belongs -- with her family,” Ty Carey said. “A child needs to be, especially at that age, needs (the) voices and smells of familiarity.”

I don't remember the exact specifics, but I do recall that CPS scheduled a hearing early that week for the Friday after Xmas, then that changed and they returned Margo to Shane, my assumption was that they scheduled the hearing just in case because of the holidays, then DNA results came back and they were able to return her to Shane and cancel that hearing. I would be surprised if they just handed her back to Shane without that DNA result. JMO
 
  • #389
MF's 162 online searches, between 11/11 and 12/18, for some variation of "Heidi Broussard" struck me as strange at first too.

If it turns out that the vast majority occurred after she 12/12 and the ones before that were simply to link to Heidi's FB page (or something like that), then it won't seem strange at all.

I can see MF scouring the net for news about her crime.

(Edit: Sorry Missy1974 -- just saw your post!)




.

don't be sorry LOL Good to know I wasn't the only one thinking this!

I have watched and read enough search warrant affidavits, trials, etc. to know that sometimes LE will use something like this to get what they need, in this case, the search warrant. But it could mean she was seaching her every day, multiple times a day. It could mean she searched 1 time on Nov 11, and then all those other one's are the week she was 'missing'.
 
  • #390
True but the discussion arose when the delay occurred in returning the baby to her home, the home she had shared with Heidi and Shane. MF is claiming the baby was hers. Even though it's unlikely she ever held any birth records for a live live birth, they still had to prove it was Heidi's baby and not Meghans' in order to release the baby to her home.
It became confused because two wannabe-famous wasters decided to grab some attention for their nondescript and probably useless lives by having a go at inserting themselves in the situation.
I don't know who fathered Heidi's baby.
I don't even know if Shane knows at this point in time.

I think they know. I think that if Shane was not the father, she would have been returned to Heidi's parents.
 
  • #391
I think they know. I think that if Shane was not the father, she would have been returned to Heidi's parents.

Lol, or to the actual bio. Moo
 
  • #392
The hospital tests that SC referred to would have been sufficient to establish both paternity and maternity by DNA. Once a positive match of a sample taken from MC after her rescue made to that hospital work, paternity would no longer be an issue on any level IMO
 
Last edited:
  • #393
Idk if he attempted a formal eviction. No way did he want her there, imo. She’s a dif’ woman compared to the woman he entered into a relationship with. Moo
You should be able to look up filed evictions.
 
  • #394
The comment about HB stronger than MF struck me as strange. I thought perhaps HB/SC helped MF move a time or two & HB was physically able to lift more. Sounds dumb, I know, lol.
I agree SC is experiencing disbelief, I think he always will. I know I would if my bestie committed any crime, let alone one so heinous.
Moo
I've thought about the fact that Heidi would be strong because the job she had as a server required a lot of strength. Carrying those trays loaded with plates of food requires not only a lot of muscle, but balance and dexterity. Cracker Barrell is not a restaurant that caters to couples and most customers are large groups. Families and after church friends. Just her daily routine as compared to a person who doesn't work would make her stronger. Three flights of stairs would make her legs stronger too. Heidi had the appearance of someone who took care of themselves... MF does not. jmo
 
  • #395
I watched a recorded Nightline ABC with Byron Pitts just now. The first 15 minutes is the movie, "Just Mercy," with Jamie Fox and Michael B. Jordan

The second part is an extended interview of the GMA video released yesterday, with Shane and his father, Nancy Grace, there is a lot more info discussed. More photos too. Shane talks about how he called MF asking if she saw Heidi. "She played it off so well."

I looked for the Nightline video Jan. 9th but it is still locked on the Nightline website. or I just can't find it. I found the podcast for the Nightline episode.

‎Nightline on Apple Podcasts

Listening to this now... uggh @ Nancy Grace.

Shane does say that he called her to see if Heidi had talked to her or she knew where Heidi was, if they were as close as everyone is saying, I would be surprised if he didn't call her right away the evening of the 12th. So that search for 'amber alert' doesn't mean she was searching it and shouldn't have known she was missing yet. IMO if she was a stranger, this would be different. She was not a stranger and likely already talked to Shane and maybe someone she was talking to was questioning why no amber alert, again JMO.
 
  • #396
BBM

There was a Jay is 4 Justice interview with a friend of MF's shortly after her arrest. Tricia approved that interview for discussion (only what the friend said in regards to MF, not the hosts' narratives).

The friend said that he had worked for the same payday loan company as MF in Houston and hung out with MF at her condo and CG's Bo Jack home like 3 times a week over the course of nearly a year and a half (before he moved out of state about two years ago, IIRC).

He said MF was fun, always cheerful and helpful to anyone, threw him an awesome 21st birthday party, seemed like a normal couple with CG, etc.

Anyway, your comment made me think that IF MF did have help, maybe it was another person considerably younger than herself whom she befriended and impressed (and could easily be manipulated)?
I thought he hadn't seen MF in two years and MF & CG had only lived there since 2017. Just from memory.

I remember thinking she may have snapped sometime after he left town.
 
  • #397
I hope you are wrong about this.
I'd imagine that if she could have pinned this on somebody else, she would have done it before now. She's all lawyer-ed up and all.
Would take more than her word though.
I'd be very interested in knowing what she told them already.
Unless that person is taking a dirt nap somewhere. Nothing in this case can be deemed to crazy at this point!
 
  • #398
January 7 -
"Police are still investigating who killed Broussard and where the slaying took place." Link ABC

If this is correct, then the tampering makes sense and the death certificate, as many of us have guessed, means "place of death" was not the trunk, but where she was found.
. BEM JMO
 
  • #399
I think they know. I think that if Shane was not the father, she would have been returned to Heidi's parents.
I totally agree and I really can't believe it's even being discussed as a legitimate concern. I think it's just FB fodder to keep things stirred up. I don't think CPS would return the child to SC unless they were totally sure it was the right place for her. With her Daddy and grandparents. jmo
 
  • #400
Good morning everyone!

I agree that it might not mean what it appears to mean. She could have searched her name 1 time on November 11, for whatever reason, and the other 161 searches could have been after the 12th and they could still say between 11/11-12/18.

I have wondered if searches on FB would have appeared in that query, or instagram searches? I had considered that she was 'social media stalking' her, but not sure if they would show up under her google searches. I actually tried it myself the other day haha Did a facebook search from my FB account, then checked my history and it didn't show that search, but no idea if LE was able to get more from Google than what we see in the basic 'History' in chrome.

It's a minor point, but if they were friends on Facebook, she would have no reason to do a search. IMO
 
Status
Not open for further replies.

Guardians Monthly Goal

Members online

Online statistics

Members online
144
Guests online
1,533
Total visitors
1,677

Forum statistics

Threads
637,036
Messages
18,708,304
Members
244,022
Latest member
anon2026
Back
Top