UT - Kouri Richins, 33, Author, wife, mom, charged in husband’s “unexpected” death last year, May 2023

Status
Not open for further replies.
  • #661
WoW!!!
The last time I Wowed!!! at a case was at the Alex Murdaugh and Cousin Eddie Curtis "side of the road" incident. But now we discover fentanyl Kouri who has carved herself a unique niche in deranged murdering.
MOO
 
  • #662
The "friend" was double crossing KR? This gets better and better.
Was she romantically involved with the other person who was perhaps married and they were going to pull a Lori and Chad removal of spouses for life insurance?
 
  • #663

5/19/23


[..]

The amendments state she had a lengthy phone call with the IRS on March 3. Kouri’s outstanding state and federal tax liability was almost $200,000 and she owed a hard money lender at least $1.8 million, according to court documents.
Snipped by @arielilane

Am impressed that she was able to get through IRS phone lines. Guess when you owe the money she owes it's much easier. lol. moo
 
  • #664
Possible motive? KR greed got the best of her. moo


5.19.2023

Eric Richins and his wife, Kouri Richins, had a premarital agreement on June 15, 2013, establishing that each did not have rights to one other’s “present or future income, property or assets” except if Eric Richins died while the two were lawfully married, his partnership interest in his business would transfer to Kouri Richins, the court document revealed. Among Eric Richins’ premarital property is his Kamas home located in Summit County.
 
  • #665
I wish someone would upload the actual documents (other than the original warrant). If anyone sees a link them, could you please post? ❤️
 
  • #666
  • #667
Snipped by @arielilane

Am impressed that she was able to get through IRS phone lines. Guess when you owe the money she owes it's much easier. lol. moo

I’ll gladly let her keep that privilege.

I just read this story and a couple of pages on the thread. Gotta catch up.
 
  • #668
The plot thickens…..



[…]
Parts of the prosecutors’ emerging narrative still raise questions, especially about the four accomplices involved in procuring the fentanyl Kouri is accused of using to kill her husband.

That includes Kouri’s friend who helped her procure the fentanyl, identified only as “C.L.” The new filings draw on statements made by C.L., which suggests they are cooperating with the authorities.
[…]


 
  • #669
Last edited:
  • #670
What am I missing?

All I see is this and no link to it :

B3A8433F-3E2E-417A-B994-83CDF8784052.jpeg
 
  • #671
  • #672
The plot thickens…..



[…]
Parts of the prosecutors’ emerging narrative still raise questions, especially about the four accomplices involved in procuring the fentanyl Kouri is accused of using to kill her husband.

That includes Kouri’s friend who helped her procure the fentanyl, identified only as “C.L.” The new filings draw on statements made by C.L., which suggests they are cooperating with the authorities.
[…]


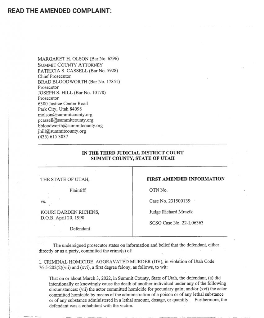
Yes, it does!

From the amended complaint pgs 3 - 5:

1684531134941.png

1684531232004.png


1684531371630.png
 
  • #673
Just saw this on NBC News, and guess what? My bestie's primary home is in Park City and she lived in Kamas for a few years and her ex still does (although the mailing address is technically Francis). It's a very small place! She's in Italy for a wedding right now but I'm gonna see what all I can dig up or maybe bring her here as a verified local.
ETA: Just looked up the addresses, they lived in the same subdivision, a 4-minute drive and less than a mile apart.

In the meantime, the NBC story said KR asked "CL" to leave more fentanyl at her fire pit after she had already killed her husband? So was she a fentanyl addict herself? How on earth did she rack up the amount of debt they're talking about? I know some people in that area spend an absurd amount of money, but they're buying outdoor sports equipment and jewelry and art... stuff she couldn't have really hid from her husband, right?

 
Last edited:
  • #674
  • #675
No, I’m also picking up on something, just not sure exactly what.
But it seems clear that Eric’s family didn’t trust KR from the very beginning. It is strange that his mother, not him, presented the prenup, and on their wedding day at that! Maybe KR was already coming across as a gold digger, who knows.

Eric Richins and his wife, Kouri Richins, had a premarital agreement on June 15, 2013, establishing that each did not have rights to one other’s “present or future income, property or assets” except if Eric Richins died while the two were lawfully married, his partnership interest in his business would transfer to Kouri Richins, the court document revealed. Among Eric Richins’ premarital property is his Kamas home located in Summit County.

A prenup implies both parties understand the marriage may not last.

And yet, as reported above, the document appears to say "Divorce is not an option, you'll have to kill me'."

It almost feels to me this attitude was perpetuated, but later it was "Dare you to do it. Just try us, and you'll see!"

Like others, I'm really wondering about the family dynamics.

JMO
 
  • #676
Possible motive? KR greed got the best of her. moo


5.19.2023

Eric Richins and his wife, Kouri Richins, had a premarital agreement on June 15, 2013, establishing that each did not have rights to one other’s “present or future income, property or assets” except if Eric Richins died while the two were lawfully married, his partnership interest in his business would transfer to Kouri Richins, the court document revealed. Among Eric Richins’ premarital property is his Kamas home located in Summit County.

To be clear, while the agreement provided for ER's business interest to transfer to KR, the partners each carried life insurance on each other sufficient to buy out the interest of the wife. In other words, neither intended KR to become a partner. But KR showed the ultimate greed. Not only did she look to inherit ER's interest in his business, but she also attempted to remove his partner as the sole beneficiary of this life policy and name herself as the beneficiary. o_O
 
  • #677
That's only page 1 and scroll down for the additional embedded pdf, total 6 pages.
:oops:
must be my iPad settings or something. I’ve opened it in Safari and Chrome and it’s not embedded.. no scroll bar. Bummer.
 
  • #678
:oops:
must be my iPad settings or something. I’ve opened it in Safari and Chrome and it’s not embedded.. no scroll bar. Bummer.
Oh, no!
See #672 for the relevant changes to the complaint -- pages 3-5.
 
  • #679
:oops:
must be my iPad settings or something. I’ve opened it in Safari and Chrome and it’s not embedded.. no scroll bar. Bummer.

I don't have a scroll bar either, but if you hover over it and scroll, you can see the other pages.
 
  • #680
Parts of the prosecutors’ emerging narrative still raise questions, especially about the four accomplices involved in procuring the fentanyl Kouri is accused of using to kill her husband.

That includes Kouri’s friend who helped her procure the fentanyl, identified only as “C.L.” The new filings draw on statements made by C.L., which suggests they are cooperating with the authorities.
Some of y'all better versed in such things -- if something or a substance is used in furtherance of a murder, obviously fentanyl in this case, could the people who assisted in procuring the fentanyl face accessory to murder charges? That would certainly motivate someone to be very coopertive with police.
 
Status
Not open for further replies.

Members online

Online statistics

Members online
77
Guests online
1,743
Total visitors
1,820

Forum statistics

Threads
632,760
Messages
18,631,370
Members
243,284
Latest member
Benjamin0
Back
Top