Deceased/Not Found CT - Jennifer Dulos, 50, New Canaan, 24 May 2019 *ARRESTS* #48

Status
Not open for further replies.
  • #641
The box was full of CASH. The green stuff we use for money. Although it’s against the law to keep cash in a safety deposit box, the smallest size is designed to stack bills one right after another. Perfect fit.
This box was the mysterious Greek Benefactor and was behind the curtain all this time....
Yes, ole Norm, quite the quite. But cameras will reveal who came to clean out the box. The size will help determine what was contained therein. If the cleaner had wheeled in a suitcase to haul everything off, we’ll know that, too. Maybe the IRS will finally get involved?!?!?!?!? Jeez. Where you been Secret IRS Agent, Get Smart? So much info seemingly lost. It cannot possibly be error. Intentional actions. Everyone’s in on it. EVERYONE. And who loses? The Farber Family. All the way around. A daughter. Children’s’ health. Well being. Happiness. Never mind money. Just pathetic what CT has allowed to transpire. It’s no wonder people are leaving the state in droves. CT: do something right. At least find Jennifer’s remains.

You can say that again sister! Sadly, I believe (and know) all of this to be true.
 
  • #642
LOVE this, @pernickety

I recall reading that the Bar or Statewide Grievance Cmte has the statutory authority to audit attorney escrow accounts without notice at any time (not only when a lawyer is suspended). IMO in the interest of justice (in both the criminal cases and the Farber civil case) they should also audit the accounts of attorneys Pattis, Rochlin and Murray to find out who was paying their legal fees re FD. See links below re money laundering and attorney escrow accounts.

Reputation is Everything: Why Lawyers Should Take a Closer Look Inward at Money Laundering Risk | Exiger

Reputation is Everything: Why Lawyers Should Take a Closer Look Inward at Money Laundering Risk
 
  • #643
  • #644
Is NP really tying to say that a college educated person doesn’t know what to do when suspicious/possible evidence of a crime shows up at your doorstep? The only people that panick when they see bags of bloody evidence are the guilty ones.
Remember when FD just got back from court after being charged with murder, and he called the cops on the Press (video showed him walking with PD in yard. PD said Press was on another property and they couldn't do anything about it). I thought, geez, what a sense of entitlement the guy had. But for garbage bags deposited on his porch he didn't call the PD?
 
  • #645
  • #646
I couldn't find the 16 pages of Probate docs. Went to Caron's Twitter and saw glimpses of docs, but couldn't access them. How to?

Thought I'd saved a PDF but it was linked to Fox...Nada this morning! Part of the reason may be the exposure of the Farber family addresses....unfortunate move!
 
  • #647
I couldn't find the 16 pages of Probate docs. Went to Caron's Twitter and saw glimpses of docs, but couldn't access them. How to?
He might have taken it down because GF’s address was visible. I left that page out.
 

Attachments

  • 2A1209AC-2164-4717-8A51-8B437CA1F64E.jpeg
    2A1209AC-2164-4717-8A51-8B437CA1F64E.jpeg
    83.6 KB · Views: 132
  • FD9748CE-4359-49F3-A817-CC88F9B258E3.jpeg
    FD9748CE-4359-49F3-A817-CC88F9B258E3.jpeg
    98.4 KB · Views: 138
  • D60B8A09-5990-4D32-A20D-1BC6F0B75408.jpeg
    D60B8A09-5990-4D32-A20D-1BC6F0B75408.jpeg
    110.8 KB · Views: 130
  • 815AD68B-AD05-47A5-85FC-D1696C03C579.jpeg
    815AD68B-AD05-47A5-85FC-D1696C03C579.jpeg
    105.6 KB · Views: 122
  • B92E13C5-8797-4215-AD03-64EA949BA51D.jpeg
    B92E13C5-8797-4215-AD03-64EA949BA51D.jpeg
    83.2 KB · Views: 107
Last edited:
  • #648

Attachments

  • 38DD5EC8-9F3C-4CB5-A739-A4804DCFDB70.jpeg
    38DD5EC8-9F3C-4CB5-A739-A4804DCFDB70.jpeg
    149.3 KB · Views: 117
  • BC8FB674-5AB2-4FC6-9E2F-B4E7C6705338.jpeg
    BC8FB674-5AB2-4FC6-9E2F-B4E7C6705338.jpeg
    104.4 KB · Views: 118
  • D0136F03-6BCA-4A1F-8461-4D7D34978622.jpeg
    D0136F03-6BCA-4A1F-8461-4D7D34978622.jpeg
    135.1 KB · Views: 122
  • 1FCB6AE1-B67E-482B-A19D-1AA7501949F3.jpeg
    1FCB6AE1-B67E-482B-A19D-1AA7501949F3.jpeg
    136.3 KB · Views: 117
  • F1AF56B0-6450-4BF4-B352-783FBAED4C04.jpeg
    F1AF56B0-6450-4BF4-B352-783FBAED4C04.jpeg
    143 KB · Views: 111
  • 554E82C1-B9ED-41E2-B6B9-4A5BD59E50D4.jpeg
    554E82C1-B9ED-41E2-B6B9-4A5BD59E50D4.jpeg
    139.4 KB · Views: 114
  • F8BA1E8B-3BEC-48EC-9FA0-6FA158B4351D.jpeg
    F8BA1E8B-3BEC-48EC-9FA0-6FA158B4351D.jpeg
    96.3 KB · Views: 114
  • 103E1A76-0B2A-4E4F-A0D4-6285FCCB6500.jpeg
    103E1A76-0B2A-4E4F-A0D4-6285FCCB6500.jpeg
    71.3 KB · Views: 117
  • D2FD84B9-C826-4CB6-A7BB-F558FE2DCC98.jpeg
    D2FD84B9-C826-4CB6-A7BB-F558FE2DCC98.jpeg
    99.5 KB · Views: 102
  • 5B035B47-D0BD-4356-AC51-09FE78C66D41.jpeg
    5B035B47-D0BD-4356-AC51-09FE78C66D41.jpeg
    70.4 KB · Views: 96
  • #649

Schoenhorn's objection to venue refers to the Judicial District ignores the initial arrest in June. I don't understand why this is so important, other than Schoenhorn doesn't want to drive as far or feels that he "knows" the judicial playground better in Hartford. I didn't know that defendants get to chose which district they are charged in.

Here's Michi's arrest warrant #1....starts on page 7 after Fd's.
https://int.nyt.com/data/documenthe...rants/6d596144af51cba22c02/optimized/full.pdf

Do any legal minds have a professional opinion for this cog that JS is trying to throw in the works?
 
  • #650
He might have taken it down because the GF’s address was visible. I left that page out.

Huge thanks for posting these!
 
  • #651
IIRC, wasn't People's United Bank advancing funds from the line of credit each month to pay the interest due on (what was then) the currently outstanding balance of that credit line? That is, until the full credit limit was reached.

If this is what Peoples Bank was doing it would shock me as most banks would shut down the line and work on a repayment plan or sell assets securing the line (if its secured). I still haven't see if Peoples Bank is listed as a creditor of the Fd Estate as I keep checking to see if they have sued either Fd or the Estate and don't see anything. Odd IMO as they have to be one of the largest creditors.

Edited to add after reading @sds71 posted Probate Documents:

Looks like the line might have been secured by the 3 MS properties and Temp. Administrator thinks that Peoples will simply foreclose on them to repay what it can of the amounts lent. Looks to be a bit of a mess and I do wonder who the Loan Officer was at Peoples as I wonder if they were watching the news?



MOO
 
Last edited:
  • #652
I recall reading that the Bar or Statewide Grievance Cmte has the statutory authority to audit attorney escrow accounts without notice at any time (not only when a lawyer is suspended). IMO in the interest of justice (in both the criminal cases and the Farber civil case) they should also audit the accounts of attorneys Pattis, Rochlin and Murray to find out who was paying their legal fees re FD. See links below re money laundering and attorney escrow accounts.

Reputation is Everything: Why Lawyers Should Take a Closer Look Inward at Money Laundering Risk | Exiger

Reputation is Everything: Why Lawyers Should Take a Closer Look Inward at Money Laundering Risk
@pernickety, do you have any sense of how Atty. P. and Pattisville were paid if the 401K wasn't liquidated to pay them (I'm assuming here that Fd only had 1 401k from his days at Cap Gemini and it was used to secure the services of Atty. P.)? Remember at the AW1 first hearing Atty. P. argued hard to gain access to the 401K and Judge Blawie said he had no interest in those games? I wonder if there were 2 401K accts or is the only 401K acct that is left the one that we first learned about in Court at the time of AW1?

But, my question is, if there is only the 1 401K acct and it was used to secure the services and pay Atty. P. and Pattisville then how has Pattisville been paid now for 8 months? Was Fd just accessing some safe deposit box and paying in cash or was one of his 'friends' or 'Sister' Rena paying Atty. P. with funds that Fd had sent to Greece long ago?

I don't personally care whether Atty. P. gets paid or not but the fact is that he has not been working for free for 8 months on behalf of Fd and neither have all the other Pattisville attys here?

How were all these attys being paid?

MOO
 
  • #653
Did Habib claim he was an "addict"? Maybe he got his file sealed on medical privacy grounds?

IDK, but if he is an 'addict' then why is he still practicing law in the State of CT????????? IS there any oversight of attorneys in the State of CT or do you have to be accused of conspiracy to commit murder like KM before your license is SUSPENDED?????

MOO
 
  • #654
@pernickety, do you have any sense of how Atty. P. and Pattisville were paid if the 401K wasn't liquidated to pay them (I'm assuming here that Fd only had 1 401k from his days at Cap Gemini and it was used to secure the services of Atty. P.)? Remember at the AW1 first hearing Atty. P. argued hard to gain access to the 401K and Judge Blawie said he had no interest in those games? I wonder if there were 2 401K accts or is the only 401K acct that is left the one that we first learned about in Court at the time of AW1?

But, my question is, if there is only the 1 401K acct and it was used to secure the services and pay Atty. P. and Pattisville then how has Pattisville been paid now for 8 months? Was Fd just accessing some safe deposit box and paying in cash or was one of his 'friends' or 'Sister' Rena paying Atty. P. with funds that Fd had sent to Greece long ago?

I don't personally care whether Atty. P. gets paid or not but the fact is that he has not been working for free for 8 months on behalf of Fd and neither have all the other Pattisville attys here?

How were all these attys being paid?

MOO
FD testified at his deposition in the Farber civil case that funds to pay for legal services were coming from unknown person in Greece and funneled through Atty Phufas of NY. He didn't testify that funds for legal bills were being paid from the 401K. (An early withdrawal from a 401k cd result in a big tax liability) Also: The funds from Greece could have been from a friend who'd come by those funds illegally. IMO
 
  • #655
IDK, but if he is an 'addict' then why is he still practicing law in the State of CT????????? IS there any oversight of attorneys in the State of CT or do you have to be accused of conspiracy to commit murder like KM before your license is SUSPENDED?????

MOO
I think substance addiction is considered a health impairment, like alcoholism.
 
  • #656
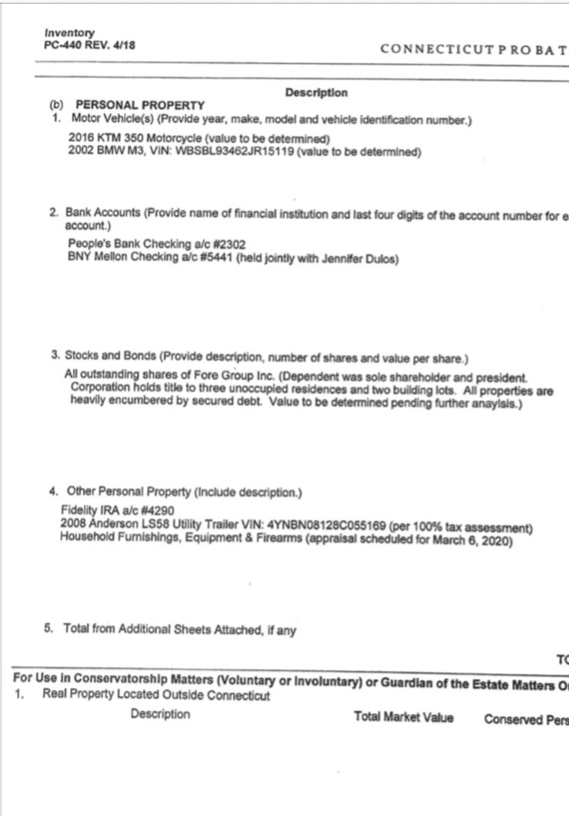
@sds71, thanks for posting the Probate Documents.

Random thoughts:

- Report refers to 'firearms' so wonder how many there were and goes on to state that the firearm/s were given to Farmington PD. Good to know that it seems the guns weren't in Fd possession at the time of his death but had been given to FPD but the wording of document isn't crystal clear IMO as to how many firearms there were and whether FPD have ANY of the firearms now? Did CSP intervene here to secure the firearms or did the ball get dropped?

?: Does FPD have ANY of Fd firearms now?
?: Are these firearm/s different that the Glock 19 that released to some unknown person or do more firearms exist?
?: Did LE test the firearms to make sure that they hadn't been used?
?: Why has the public not been made privy to the alleged '10 page report' that the Stamford Advocate filed a FOIA request for?

-Report refers to safe deposit box with a 'unidentified' joint owner? Wonder who this might be? JFd? MT? AC? or someone else?

-Report refers to boxes of financial documents received from an atty. Who might this have been? Atty BM? or some other member of Pattisville or possibly Atty Markowitz?

---------------------------------------------

Do wonder how Fd was keeping his financial ship afloat as it seemed that he either had help or simply kept borrowing from one credit card account to pay another until it wasn't possible to do any longer. He also supposedly was resorting to 'quick' loans and I do wonder if those were secured or unsecured?

How was Pattisville being paid if the 401K is now in the hands of the Temp Administrator and is being used to pay Estate related expenses?

Did Fd have any life insurance?

MOO
 
  • #657
FD testified at his deposition in the Farber civil case that funds to pay for legal services were coming from unknown person in Greece and funneled through Atty Phufas of NY. He didn't testify that funds for legal bills were being paid from the 401K. (An early withdrawal from a 401k cd result in a big tax liability) Also: The funds from Greece could have been from a friend who'd come by those funds illegally. IMO
@pernickety, Yes, but then I guess I'm confused as to whether the 401K was pledged to Atty. P. or perhaps one of the bonding companies at the time of AW1? Or, was nothing done by Atty. P. regarding the 401K at the time of AW1 because Judge Blawie wouldn't give him control of it and Judge Blawie didn't want the Court to take on management of the 401K?
 
  • #658
You can say that again sister! Sadly, I believe (and know) all of this to be true.
Wow. Again, unbelievable, this whole case! I sure don’t have my hopes up for the prosecution of MT and KM. They’ll probably both walk! Just unbelievable.
 
  • #659
  • #660
Status
Not open for further replies.

Guardians Monthly Goal

Staff online

Members online

Online statistics

Members online
59
Guests online
2,131
Total visitors
2,190

Forum statistics

Threads
638,982
Messages
18,735,655
Members
244,564
Latest member
TigerSilly
Back
Top