- Joined
- May 3, 2016
- Messages
- 4,999
- Reaction score
- 52,082
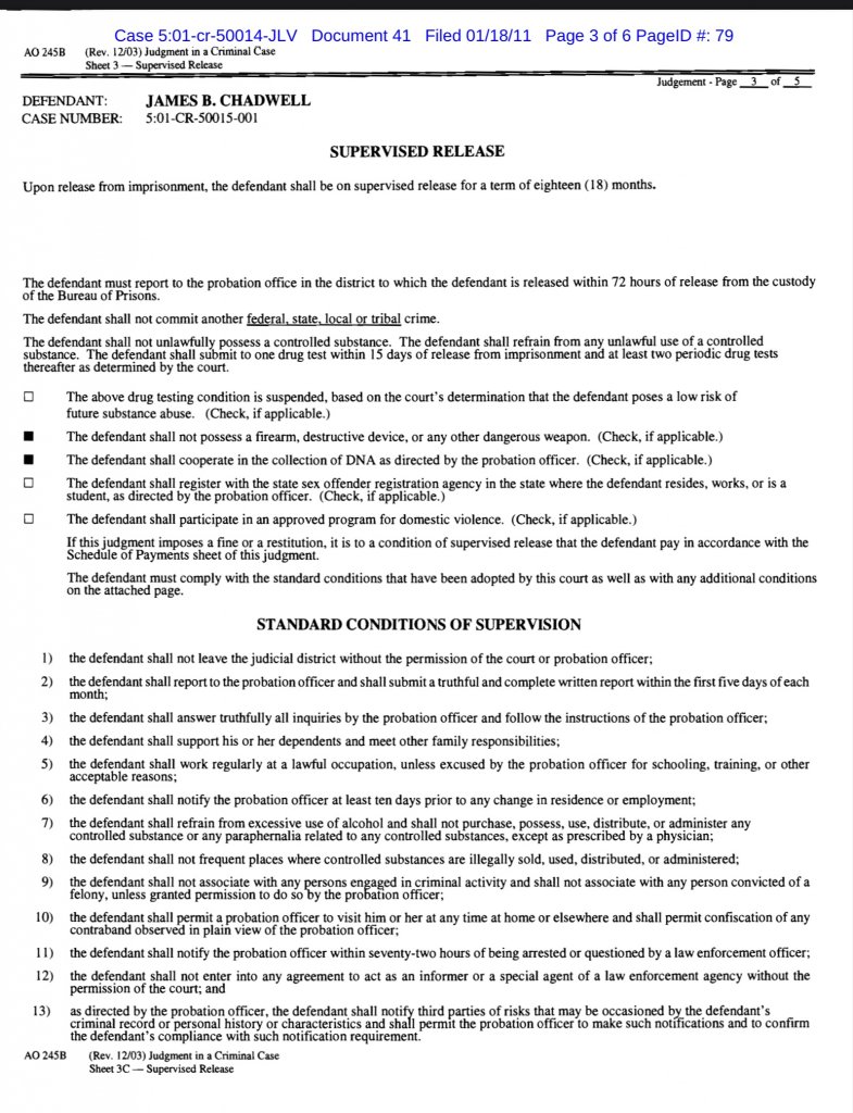
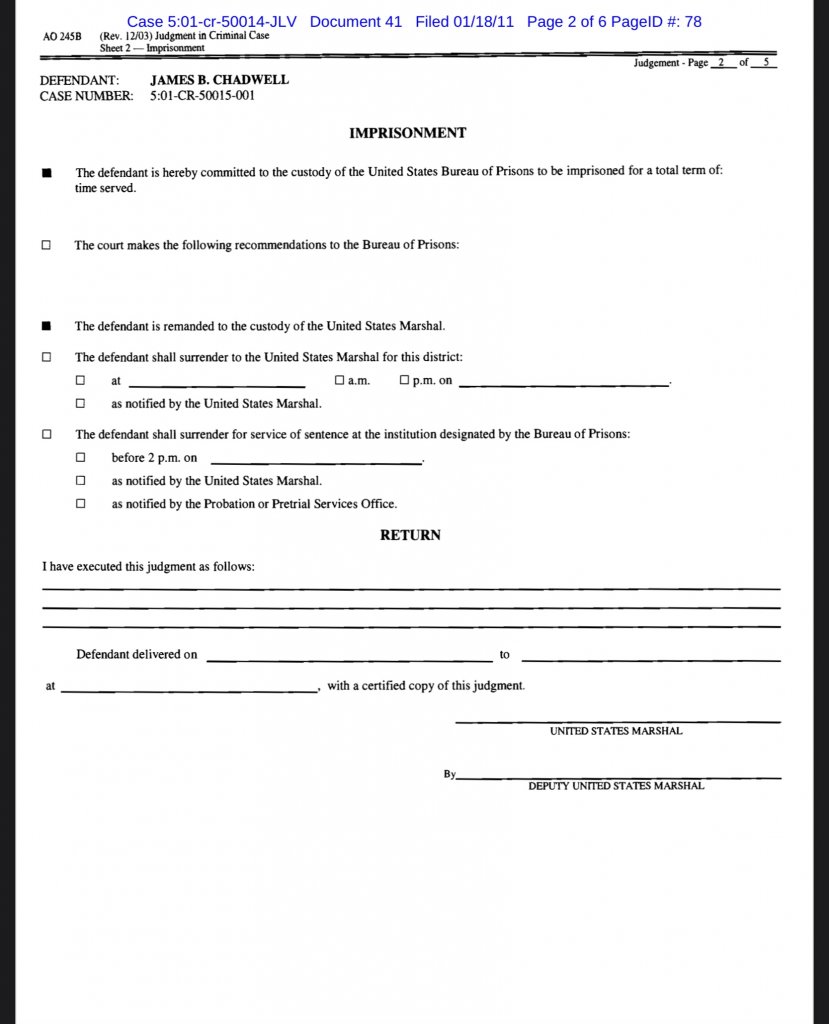
From official Indiana Court Records he has had two separate protective orders served against him


2019 AND 2020 - 2 different counties
I am curious and thinking these could be Ex GFs filing but never know.