Found Deceased TX - Michael Chambers, 70, Hunt County, 10 March 2017 #6

Status
Not open for further replies.
  • #501
I asked way back when if the same person that signed the death thing was the same person that signed the order of protection. I believe the answer was yes and the document was posted to see the signature. So, I think it's there.

Sent from my SM-G900V using Tapatalk
Hopefully whoever has the document sees this and won't mind re-sharing

Sent from my SM-J727P using Tapatalk
 
  • #502
Hopefully whoever has the document sees this and won't mind re-sharing

Sent from my SM-J727P using Tapatalk
I actually think it was one of the family members that answered me. I will have to look back at my posts and see if I can find it. But I kind of talk a lot and it was pretty long ago, so hopefully I can find it! Lol

Sent from my SM-G900V using Tapatalk
 
  • #503
Back again with info. Thread 4. Start around post 624. You will see a response to my answer in 631. You will also see the entire thread only has 675 posts. That's because a lot was deleted. Including my questions and documents. But you can get enough hints and info around there to probably find them again. Hope that helps.

Sent from my SM-G900V using Tapatalk
 
  • #504
Back again with info. Thread 4. Start around post 624. You will see a response to my answer in 631. You will also see the entire thread only has 675 posts. That's because a lot was deleted. Including my questions and documents. But you can get enough hints and info around there to probably find them again. Hope that helps.

Sent from my SM-G900V using Tapatalk

Coming right up ;).
 
  • #505
I asked way back when if the same person that signed the death thing was the same person that signed the order of protection. I believe the answer was yes and the document was posted to see the signature. So, I think it's there.

Sent from my SM-G900V using Tapatalk

Hopefully whoever has the document sees this and won't mind re-sharing

Sent from my SM-J727P using Tapatalk

Back again with info. Thread 4. Start around post 624. You will see a response to my answer in 631. You will also see the entire thread only has 675 posts. That's because a lot was deleted. Including my questions and documents. But you can get enough hints and info around there to probably find them again. Hope that helps.

Sent from my SM-G900V using Tapatalk

Since Tapatalk allows me to attach only five images per post, I am going to have to post the documents in two separate posts.

Probate Case: “Order Approving Inventory, Appraisements, and List of Claims” and “Order Directing County Clerk to Deposit Funds into the Registry of the Court,” signed by the presiding judge, Judge Duncan Thomas of County Court at Law #2:

0fb8d2b4554b02629ddbfe453d953812.jpg


65b24a8fb064efa94d7bd4f4395c8f4c.jpg


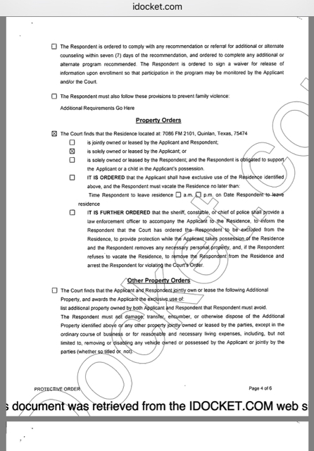
Protective Order Case: “Protective Order,” signed also by the presiding judge, Judge Duncan Thomas of County Court at Law #2:

4d425c9b3241fccd547e479fa224564d.jpg


421436aabe227256144fcd21a806c7cd.jpg



http://www.huntcounty.net/index.aspx?NID=957

Sent from my iPhone using Tapatalk
 
  • #506
Continued:
Protective Order Case: “Protective Order,” signed also by the presiding judge, Judge Duncan Thomas of County Court at Law #2:

6d9aa3a53cb5138c4ebe568f758d1445.jpg


01299f3b3111243712a8bc57f1fd00d3.jpg


deb48bff753f0a4fe572a48145a3cf3f.jpg


589c409d26fa4b0f3b82b013d1b536ba.jpg


ETA: I just wanted to make this clear with regard to the PPO: By posting the above document, I do not mean to imply BC’s allegations against JC2 are true; in fact, personally, I very much question the validity of the PPO, as BC has proven herself to be dishonest and untruthful.
 
  • #507
I would not rule out the JP in question living in Commerce. j/s

Wouldn't it have been the JP who signed the death certification?
 
  • #508
I sometimes wonder if MC finally did get fed up. He reached his limits & laid down the law--- brought up divorce, property division, etc.

She panics. "He's leaving me, He says I'll get nothing, how do I support myself"...all that comes with it.

All the balls are in his court due to her ...indescretions & behaviors. He has nothing to lose, after all, except her.

One of her indiscretions doesn't want to be saddled with her, so he helps her make MC disappear?

Just another theory.

Sent from my SAMSUNG-SM-J320A using Tapatalk

That is a very good question except in the State of Texas it is called a no fault divorce. The estate is split down the middle.

Community property is everything the couple owned or earned during their marriage is split. Anything personally owned (property included) before the marriage still belongs to that person and is not included in the community property. So she should have gotten half of everything in a divorce.

But plenty of people ave murdered for the other half and end up with nothing but a prison sentence.

I don't get it myself.
 
  • #509
I sometimes wonder if MC finally did get fed up. He reached his limits & laid down the law--- brought up divorce, property division, etc.

She panics. "He's leaving me, He says I'll get nothing, how do I support myself"...all that comes with it.

All the balls are in his court due to her ...indescretions & behaviors. He has nothing to lose, after all, except her.

One of her indiscretions doesn't want to be saddled with her, so he helps her make MC disappear?

Just another theory.

Sent from my SAMSUNG-SM-J320A using Tapatalk

That is a very good question except in the State of Texas it is called a no fault divorce. The estate is split down the middle.

Community property is everything the couple owned or earned during their marriage is split. Anything personally owned (property included) before the marriage still belongs to that person and is not included in the community property. So she should have gotten half of everything in a divorce.

But plenty of people ave murdered for the other half and end up with nothing but a prison sentence.

I don't get it myself.

I’m sorry this is one of my own posts (and it’s so lengthy!), but I thought I would bring it forward as the information in it may be relevant to the topic being discussed above:

“A couple of articles on how adultry may affect one’s decision on whether or not to file for a divorce in Texas:

“How Adultery May Affect Property Division and Texas Divorce Proceedings”

“While adultery is a form of personal betrayal and causes great amounts of pain in many marriages, the courts may not consider it a major determining factor when divvying up a couple’s marital estate. However, it may play a role in the court’s decisions regarding other aspects of a divorce case.

Texas is a no-fault divorce state. This means that neither party has to show that the other was in the wrong or committed any bad acts.

[SBM]

Texas also allows fault-based divorces, in which one party uses one of the acceptable grounds for divorce as the reason for filing the petition. And adultery is one of the grounds for fault-based divorces in Texas. However, it’s very rare for the courts to divide an estate disproportionately in favor of one spouse simply on the grounds of adultery.

Proving Adultery is Extremely Difficult
In order to prove adultery to the courts, the accusing spouse will have the burden of proof to show that his or her spouse actually had sexual intercourse with someone else. For obvious reasons, this is exceptionally hard to accomplish.

[SBM]

But even if you could somehow prove it, the courts may not place too much weight on it. While there are exceptions, it may not ultimately affect property division to the extent that many spouses hope.

Adultery and Child Custody and Alimony Decisions

Adultery may be a factor, however, in decisions about custody and alimony. Some of the things the courts will consider include:

whether the children witnessed the adulterous acts;
where the acts took place; and
how long the affair had been going on prior to filing for divorce.
Alimony can be affected if one party proves the other was adulterous. If the spouse seeking alimony is the adulterous party, the courts may bar him or her from receiving alimony
.

However, if the spouse that is seeking alimony has never worked during the course of the marriage then that spouse could ostensibly receive a larger proportion of the estate. However, to some courts, the two situations – the lack of work experience and the adultery – may cancel each other out.

[SBM]”
https://www.wmtxlaw.com/articles/adu...e-proceedings/

“What Can You Ask for in a Divorce in Texas if Adultery Has Been Committed?”

Grounds
In Texas, you may file for a "no fault" divorce, or you may file for divorce based on fault grounds, such as adultery. In order to file for a fault divorce based on adultery, you must have evidence that the other party cheated.

[SBM]

Further, even if you do convince the court that your spouse committed adultery, the court is still not obligated to make its final ruling on the basis of fault.

Property Division
If you are successful in proving adultery, you may receive more of the community property in the divorce settlement.

[SBM]

If you prove the other party's adultery was the cause of your divorce, you may ask for and potentially receive a greater portion of the community property.

Alimony
The Texas Family Code does not look at fault when determining alimony amounts. Therefore, receiving alimony, or spousal support, is not automatic in Texas and proving adultery is not likely to have an impact on the court's decision. Generally, courts will only award alimony if there is evidence of domestic violence or the marriage lasted for 10 years or more and one spouse cannot financially support herself. Alimony awards usually only last for three years.

Proving Adultery
In order to prove that adultery occurred within your marriage, you must present evidence to the court. The court requires physical and credible evidence, such as emails, credit card statements and printouts of interactions on social media websites. Furthermore, it may be beneficial for your case if you can present evidence that money from community property was spent on gifts or vacations for the object of the extramarital affair. Providing such evidence may convince the court to award you more of the martial property estate.

[SBM]”
http://info.legalzoom.com/can-ask-di...ted-24604.html”

All BBM

https://www.websleuths.com/forums/s...ounty-10-March-2017-5&p=14073529#post14073529
 
  • #510
He says he has her phone records so I am sure he knows exactly how long she talked and to whom....

He also said he didn't want to get too literal with the timeline because it gets crazy.(my word, not his). I don't think he wants to tell all he knows about specific timelines.

What he was saying was she talked to the boyfriend 3 times that day when the boyfriend originally told him (or his investigator) he hadn't spoken to her in over a year......

Also, we need to remember that none of these people owe us any explanations at all. I feel like Klein was very giving in what he did say. I’m sure that there are many, many things that they can’t/won’t tell the public. At least for now. I have no doubts that KIC knows exactly who talked and texted who, when, and for how long. But there are more than likely good reasons why they aren’t putting details out there.

JMHO.

Sent from my iPhone using Tapatalk Pro

I agree with both of you.

Personally, I believe Klein’s vagueness over the timeline and who BC might have been involved with (both “boyfriends” and “friends with benefits”) was very much intentional.

I also think his main reason for giving the interview was to unnerve those who are responsible for MC’s disappearance and to force someone’s hand.

It was only after he was presented with the phone records showing he was in communication with BC that day the BF admitted he was still involved with BC when MC went missing.

However, Klein knows the same exact strategy will not work with BC because he also knows she will never talk to him willingly, IMO.

So assuming that BC has watched the interview, she may feel compelled to say to someone something like, “I might have remembered wrong before ... I might have left work at 2, 2:30, like Klein said ... but that doesn’t mean I had anything to do with MC’s disappearance!”

Say, this person agrees to testify to this under oath. Based on his/her testimony, BC is subpoenaed to testify under oath, and states yes, she was mistaken before, and now remembers she left work at 2 or 2:30 that day, at which point, Klein comes back with a surprise: “Well, actually, according to phone records (or maybe even according to her employer), you left work at 1 o’clock that day.” For a scenario like that to work, Klein cannot be telling everyone everything they know right now, IMO.

The same goes for people she might have been involved with, whether romantically or strictly physically: Perhaps it wasn’t actually a Justice of the Peace but another elected official, including Duncan Thomas or Randy Meeks (I am using them just as examples; I have no idea), or yet somebody else.

If I were one of those responsible for MC’s demise, I would start working with the DA’s office, trying to cut a deal in exchange for cooperating with the investigation right away. Otherwise, some of these people could soon be facing the death penalty, IMO.
 
  • #511
Personally, I think this boyfriend is the weak link in this chain.

JMHO.


Sent from my iPhone using Tapatalk Pro
 
  • #512
Personally, I think this boyfriend is the weak link in this chain.

JMHO.


Sent from my iPhone using Tapatalk Pro
Obviously. Break him and the whole thing may come unraveled

Sent from my SM-J727P using Tapatalk
 
  • #513
Obviously. Break him and the whole thing may come unraveled

Sent from my SM-J727P using Tapatalk

That’s what it’s probably going to take. He’s obviously obligated to her on some level, but when it comes to choices about your freedom, there are usually other priorities over love, sex, or money.


Sent from my iPhone using Tapatalk Pro
 
  • #514
(I’m sorry this is somewhat random, but since we have been talking about the timeline ...):

Some timeline-related posts by our VI1:

1. Sep. 8, 2017:
[In reply to question: “Has it been verified that BC left work and went straight home? How long was she there before she called 911?”]

“since she is a home health nurse, it's really hard to verify this, but my understanding is she texted Papaw (at 5:51) that she was coming home, got home about 6:15, checks house, shop is locked and dark, gets neighbor to help check property on 4-wheelers, decides to unlock the shop to check, finds blood, calls 9-1-1 at 6:55.”

https://www.websleuths.com/forums/s...ounty-10-March-2017-4&p=13613909#post13613909

2. Aug. 16, 3:08 pm:
[Regarding a newspaper article stating: “His wife, she works in Dallas, came home around 7 p.m. and was unable to get a hold of him,” Meeks said..

http://www.heraldbanner.com/news/up...cle_c5d512b2-0683-11e7-971c-e3cda73252a4.html ]

“I do believe that Meeks' information about her timeline was bad. I have seen the timestamps on the texts (on my way home, home, where are you, I'm looking for you, call me back, etc.). They show 6:14 (I'm home, where are you, your truck is here but I can't find you anywhere) to 7:01 (call me ASAP).”

https://www.websleuths.com/forums/s...ounty-10-March-2017-3&p=13567498#post13567498

3. Aug. 16, 2:54 pm:
[In reply to question: “Had she been in Dallas on the 10th?”]

“I am trying to find that out, but don't hold your breath on a verifiable answer for this one ... I believe her patients are typically in the greenville/cash/quinlan area, so there would have been no need for her to be in Dallas. Her EMPLOYER may be Dallas-based.”

https://www.websleuths.com/forums/s...ounty-10-March-2017-3&p=13567469#post13567469

August 16, 9:48 am:
[Regarding a newspaper article reporting: “Rebecca Chambers, Michael’s wife, arrived from Dallas around 3 PM and Chambers was not at home. His truck, wallet and keys were present but his cell phone was missing. Mrs. Chambers last spoke with her husband around 8 AM Friday morning. She filed a missing person report at approximately 6:55 PM Friday evening. An initial check of the area was made. The K-9 Team from Bonham was enlisted in the search. A DPS helicopter with infrared sensors was called the aerial search lasted well into Friday night without results.”

http://huntcountynews.org/missing/ ]

“This article is incorrect. She didn't arrive home until after 6. Her first text to him was saying she was that she was coming home at 5:51. After that there's a series of texts and calls - where are you, I'm home, looking for you, call me back ASAP, etc. - from 6:14 to 7:01 (with the last one being AFTER she made the 911 call).”

https://www.websleuths.com/forums/s...ounty-10-March-2017-3&p=13566865#post13566865

For those interested:
1. Statement issued by Mar. 13, 2017 by HCSO:

https://twitter.com/Maria_NBC5/status/841387458075996163?s=20

921dd7b3eb39c4519d16e2688dfe462a.jpg


2. Video of the Mar. 13 press conference (second one from the top):
https://www.nbcdfw.com/news/local/A...hters-Disappearance-Suspicious-415956233.html

ETA: All BBM

Sent from my iPhone using Tapatalk
 
  • #515
(I’m sorry this is somewhat random, but since we have been talking about the timeline ...):

Some timeline-related posts by our VI1:

1. Sep. 8, 2017:
[In reply to question: “Has it been verified that BC left work and went straight home? How long was she there before she called 911?”]

“since she is a home health nurse, it's really hard to verify this, but my understanding is she texted Papaw (at 5:51) that she was coming home, got home about 6:15, checks house, shop is locked and dark, gets neighbor to help check property on 4-wheelers, decides to unlock the shop to check, finds blood, calls 9-1-1 at 6:55.”

https://www.websleuths.com/forums/s...ounty-10-March-2017-4&p=13613909#post13613909

2. Aug. 16, 3:08 pm:
[Regarding a newspaper article stating: “His wife, she works in Dallas, came home around 7 p.m. and was unable to get a hold of him,' Meeks said..

http://www.heraldbanner.com/news/up...cle_c5d512b2-0683-11e7-971c-e3cda73252a4.html ]

“I do believe that Meeks' information about her timeline was bad. I have seen the timestamps on the texts (on my way home, home, where are you, I'm looking for you, call me back, etc.). They show 6:14 (I'm home, where are you, your truck is here but I can't find you anywhere) to 7:01 (call me ASAP).”

https://www.websleuths.com/forums/s...ounty-10-March-2017-3&p=13567498#post13567498

3. Aug. 16, 2:54 pm:
[In reply to question: “Had she been in Dallas on the 10th?”]

“I am trying to find that out, but don't hold your breath on a verifiable answer for this one ... I believe her patients are typically in the greenville/cash/quinlan area, so there would have been no need for her to be in Dallas. Her EMPLOYER may be Dallas-based

https://www.websleuths.com/forums/s...ounty-10-March-2017-3&p=13567469#post13567469

August 16, 9:48 am:
[Regarding a newspaper article reporting: “Rebecca Chambers, Michael’s wife, arrived from Dallas around 3 PM and Chambers was not at home. His truck, wallet and keys were present but his cell phone was missing. Mrs. Chambers last spoke with her husband around 8 AM Friday morning. She filed a missing person report at approximately 6:55 PM Friday evening. An initial check of the area was made. The K-9 Team from Bonham was enlisted in the search. A DPS helicopter with infrared sensors was called the aerial search lasted well into Friday night without results.”

http://huntcountynews.org/missing/ ]

“This article is incorrect. She didn't arrive home until after 6. Her first text to him was saying she was that she was coming home at 5:51. After that there's a series of texts and calls - where are you, I'm home, looking for you, call me back ASAP, etc. - from 6:14 to 7:01 (with the last one being AFTER she made the 911 call).”

https://www.websleuths.com/forums/s...ounty-10-March-2017-3&p=13566865#post13566865

For those interested:
1. Statement issued by Mar. 13, 2017 by HCSO:

https://twitter.com/Maria_NBC5/status/841387458075996163?s=20

921dd7b3eb39c4519d16e2688dfe462a.jpg


2. Video of the Mar. 13 press conference (second one from the top):
https://www.nbcdfw.com/news/local/A...hters-Disappearance-Suspicious-415956233.html

ETA: All BBM

Sent from my iPhone using Tapatalk
Hmmmm...

Sent from my SM-J727P using Tapatalk
 
  • #516
Does anyone know if BC had asked MC to go to Walmart that day and time? Wasn't she talking to her bf on the phone that same day? Maybe she set MC's up with the Walmart trip so someone could've been waiting in his shop when he returned home? A surprise attack with the wooden dowel and then kidnapping/removing him from the property? Which people would profit from him being gone? Follow the money.

Welcome to PaPaw’s thread, Edmo! I’m so glad you joined us.

Here is what our VI told us about how MC ended up going to Walmart that morning:

1. Sep. 6, 2017:
[OP: “Ok. Can someone correct me if I'm wrong.
I thought it was settled that BC phoned MC about purchasing the mascara?? This has changed three distinct times and each of these three stories have been circulated another three times. I'm starting to think these stories are intentionally being changed, or some people are asking deep questions and what they are being told is not consistent.
1. There signal was if she needed something she would leave thr empty container on the vanity.
2. She called him at eight and asked him to pick up items
3. She asked him to pick it up before she left
Arghh! Which is correct? Actually, I don't think we will get the whole story for quite awhile. I have been all morning reading from the 1st thread. Now on BPH they story has gone backwards.”]

“#2 is something that has been extrapolated from the Sheriff mistakenly saying Becca CALLED Papaw that morning, when she did not.

#3 is what Becca TOLD me and several other people at the beginning of all of this - that she asked him to pick up her mascara and he offered to do the laundry so she wouldn't have to that evening.

#1 is what Becca POSTED on FB - which is where my confusion is. She told me (and others) one thing, then posted something different....”

https://www.websleuths.com/forums/s...ounty-10-March-2017-3&p=13609637#post13609637

I happened to take a ss of the FB post referenced above. I don’t have a link to it as BC deactivated her FB account not long thereafter:

<modsnip>

<modsnip>

<modsnip>

2. Aug. 16:
“The mascara story was told to me directly by Becca, who then contradicted that story on FB in the comment you mentioned.

The Letters of Testamentary were also explained to me by Becca as NOT a death certificate. Y'all uncovered a certificate of death note, which we have requested a copy of and will share when we receive it.

The DROP money letter was also explained to me by Becca. I am now looking into this more closely, as information is clearly contradicted here, so I'm not sure yet whether to correct myself or not.

I do believe that Meeks' information about her timeline was bad. I have seen the timestamps on the texts (on my way home, home, where are you, I'm looking for you, call me back, etc.). They show 6:14 (I'm home, where are you, your truck is here but I can't find you anywhere) to 7:01 (call me ASAP).

I understand how frustrating it must be to go on something I say and then have me find out I was misinformed (either purposefully misdirected or unintentionally miscommunicated with). Believe me, I am a hundred times more frustrated with not being given the 100% truth from the get-go. I don't like to be wrong. But I also don't want to withhold info here when I think it could be important. :-(“

https://www.websleuths.com/forums/s...ounty-10-March-2017-3&p=13567498#post13567498



Sent from my iPhone using Tapatalk
 
  • #517
Imho... you rock!!! And I'm not gonna lie.... this board is filled with some real solid sleuthing! Makes me proud.

Also, I'm seeing the "texts" were seen, starting at 614. I'm still wondering about how many calls were made to him? If I came home and sig other wasn't there. I might text some, but I would Call 80 times before I called 911. If I knew my sig other was not in a position to answer the call and I was trying to look like I contacted him, I would text so I could show people what and when I texted. I might call and leave a message or 2, but a legit panic would have soooo many phone calls. Has anyone ever been worried about someone? Think something was wrong? Did you call like a stalker freak? I did. I think most would. I really want to know how many calls were made. And did they go on all night. Cause mine would. Boyfriend might get through at 530, but my phone woukd have called husband every 2 minutes from the night before. Unless I wasn't really looking for him.

Make sense?

Sent from my SM-G900V using Tapatalk
 
  • #518
Imho... you rock!!! And I'm not gonna lie.... this board is filled with some real solid sleuthing! Makes me proud.

Also, I'm seeing the "texts" were seen, starting at 614. I'm still wondering about how many calls were made to him? If I came home and sig other wasn't there. I might text some, but I would Call 80 times before I called 911. If I knew my sig other was not in a position to answer the call and I was trying to look like I contacted him, I would text so I could show people what and when I texted. I might call and leave a message or 2, but a legit panic would have soooo many phone calls. Has anyone ever been worried about someone? Think something was wrong? Did you call like a stalker freak? I did. I think most would. I really want to know how many calls were made. And did they go on all night. Cause mine would. Boyfriend might get through at 530, but my phone woukd have called husband every 2 minutes from the night before. Unless I wasn't really looking for him.

Make sense?

Sent from my SM-G900V using Tapatalk
Yes. But surely BC and the boyfriend knew their exchanged calls would be available for all to see. So why did they call each other? I mean, if it turns out they are the ones who killed MC, why were they so careless about calls to each other and so "meticulous" about other details? It doesn't make sense to me.

Sent from my SM-J727T using Tapatalk
 
  • #519
Yes. But surely BC and the boyfriend knew their exchanged calls would be available for all to see. So why did they call each other? I mean, if it turns out they are the ones who killed MC, why were they so careless about calls to each other and so "meticulous" about other details? It doesn't make sense to me.

Sent from my SM-J727T using Tapatalk
I don't know but after Michael went missing, boyfriend sure lied and said he hadn't talked to her in a year. So even knowing they probably looked at phone records, with Michael missing, he still lied. Is it possible they thought they were covering their phone calls? Like using *67 (dang, I think I just called myself old) or using one of those hiding apps. But it didn't cover like they thought. Cause even if they did nothing to Michael but were just lovey talking , when someone goes missing, that's not a good time to lie about not having phone contact. Knowing they probably pulled records. Unless you thought it wasn't going to show up and you could get away with the secret rendezvous talking.

Sent from my SM-G900V using Tapatalk
 
  • #520
I don't know but after Michael went missing, boyfriend sure lied and said he hadn't talked to her in a year. So even knowing they probably looked at phone records, with Michael missing, he still lied. Is it possible they thought they were covering their phone calls? Like using *67 (dang, I think I just called myself old) or using one of those hiding apps. But it didn't cover like they thought. Cause even if they did nothing to Michael but were just lovey talking , when someone goes missing, that's not a good time to lie about not having phone contact. Knowing they probably pulled records. Unless you thought it wasn't going to show up and you could get away with the secret rendezvous talking.

Sent from my SM-G900V using Tapatalk
I can see the phone going quiet after work. She didn't want to be disturbed and what with being apart for a while they had some serious catching up to do.(I wonder if they met at bf's house or if they normally went to a hotel?)

BF doesn't sound like he's all that bright but I can see where he wouldn't want to admit to the phone calls. He had to know that would make him look really guilty. I doubt they were lovey talking.
But I can see a sense of panic in that,
"Oh my gosh! They're going to think I did it". Also, I wonder if that 6:30 call was "Did MC make it back home?"

If BC and BF went to all the trouble of having the phone somehow taken via bike, golf cart or whatever and then thrown in the lake, it doesn't seem like such a great plan to then call each other and yakkity yak.

And Meeks would have seen the phone calls too. Surely the bf and BC were interviewed then. And if not, why not?

Sent from my SM-J727T using Tapatalk
 
Status
Not open for further replies.

Guardians Monthly Goal

Members online

Online statistics

Members online
290
Guests online
3,385
Total visitors
3,675

Forum statistics

Threads
640,160
Messages
18,754,971
Members
244,616
Latest member
YumpingYimini
Back
Top