GUILTY UK - Nurse Lucy Letby, murder of babies, 7 Guilty of murder verdicts; 8 Guilty of attempted murder; 2 Not Guilty of attempted; 5 hung re attempted #38

  • #961
Was there not a few times she actually became very peed off because she was "not" allocated into room 1?
 
  • #962
JMO .. She is an over entitled spoilt brat who spat her dummy out when she didn't get her own way and unfortunately some babies died because of it
 
  • #963
Was there not a few times she actually became very peed off because she was "not" allocated into room 1?
Indeed. I have felt all along that doing the course at Liverpool had some kind of part to play, possibly she got involved with more dramatic or exciting events?
 
  • #964
These posts all seems to bluster on about the same things, none of them have any substance.
14 world leading experts mention
Check ✅
Previous moj mention (Birmingham 6)
Check ✅
Dr Evans as pantomime villain
Check ✅

Do these people proof read their posts before they post and is this meant to be serious or satire?

JMO
You seem content to bury your head in the sand and pretend that Dr Evans hasnt
Those 14 alleged experts were not there. They were not present on the floor during that critical time span. So I would rely strongly upon the witness expert testimony from the doctors and nurses who experienced the tragic incidents. They all KNEW something was wrong.
Dr Evans was not there either. The witness testimony contains no direct evidence whatsoever, it’s all just surmise based on Dr Evan’s harebrained botched theories that changed every five minutes depending on when Letby was on shift.

Then he beclowns himself in response to the experts’ findings by sounding as though he doesn’t even understand the scientific method.

Let me get this straight: So they all KNEW something was wrong; the pathologists at the time couldn’t find any evidence of harm; and yet we’re to believe this case doesn’t absolutely turn on statistical illiteracy?

There is not one piece of evidence that stands on its own as remotely convincing. But if you smoosh enough he-said-she said equals lying and manipulating along with a spike in deaths at a poorly performing and overstretched hospital, I’m sure that’s convincing to some. It’s not convincing to very many remaining intelligent people who all say that every part of this case is fatally flawed. I’m sure you can find a tobacco industry lobbyist charlatan from the Daily Mail to say anything, but all the very smart and very measured voices are lining up on one side of this and the projection is starting to to look really hollow.

Anyway, I’ve done my bit to try and make people think critically and look at the actual evidence as it now stands.

Everyone has a responsibility here but not everyone seems capable of adjusting their beliefs when new evidence comes to light.
 
  • #965
There is not one piece of evidence that stands on its own as remotely convincing
Not sure about 'remotely', but you are missing the point. Nobody is saying one single thing proves her guilt, but that's normally the case with criminal cases isn't it. It's the accumulation of evidence that convinces a jury - to quote Nick Johnson 'the power of circumstantial evidence'.
The original PMs have no relevance, that has been dealt with a million times.
 
  • #966
You seem content to bury your head in the sand and pretend that Dr Evans hasnt

Dr Evans was not there either. The witness testimony contains no direct evidence whatsoever, it’s all just surmise based on Dr Evan’s harebrained botched theories that changed every five minutes depending on when Letby was on shift.

Then he beclowns himself in response to the experts’ findings by sounding as though he doesn’t even understand the scientific method.

Let me get this straight: So they all KNEW something was wrong; the pathologists at the time couldn’t find any evidence of harm; and yet we’re to believe this case doesn’t absolutely turn on statistical illiteracy?

There is not one piece of evidence that stands on its own as remotely convincing. But if you smoosh enough he-said-she said equals lying and manipulating along with a spike in deaths at a poorly performing and overstretched hospital, I’m sure that’s convincing to some. It’s not convincing to very many remaining intelligent people who all say that every part of this case is fatally flawed. I’m sure you can find a tobacco industry lobbyist charlatan from the Daily Mail to say anything, but all the very smart and very measured voices are lining up on one side of this and the projection is starting to to look really hollow.

Anyway, I’ve done my bit to try and make people think critically and look at the actual evidence as it now stands.

Everyone has a responsibility here but not everyone seems capable of adjusting their beliefs when new evidence comes to light.

There isn't any new evidence which has been scrutinised by the courts. The prosecution case hasn't been dismantled by the court system. Until this happens people are entitled to believe she's guilty.
 
  • #967
There isn't any new evidence which has been scrutinised by the courts. The prosecution case hasn't been dismantled by the court system. Until this happens people are entitled to believe she's guilty.

Exactly this ... once everything has been scrutinised by the courts ...if ..they feel there is new evidence then I'll look at it. I'm certainly not giving it a lot of thought based on McDonalds PR
 
  • #968
There is not one piece of evidence that stands on its own as remotely convincing. But if you smoosh enough he-said-she said equals lying and manipulating along with a spike in deaths at a poorly performing and overstretched hospital, I’m sure that’s convincing to some. It’s not convincing to very many remaining intelligent people who all say that every part of this case is fatally flawed. I’m sure you can find a tobacco industry lobbyist charlatan from the Daily Mail to say anything, but all the very smart and very measured voices are lining up on one side of this and the projection is starting to to look really hollow.
Like Peter Hitchens, Nadine Dorries, David Davis, et al?
 
  • #969
  • #970
That 14 doctors disagreed with Dr Evans is one way of looking at it, but it's a biased and misleading interpretation of what Lee's report actually said.

What is conveniently ignored is that where there was disagreement between two doctors on any case a third panellist was able to veto one of those opinions to reach a consensus opinion on the one they agreed with.

I'll also note Dr Lee is a panel member, and had a biased aim to start with by stating his disagreement with the trial experts and thus convening the panel, and the reports never stated how many cases this methodology was applied to or which doctors put their names to which case reports.

It looks like a fix to me. IMO

@Tortoise, perhaps it was.

Everything that has been discussed so emotionally here, including Lucy’s affect and the agreement/disagreement between the experts all of it fails to answer the main question, IMHO.

The main question still stands: did the operation Hummingbird and the very expensive trial case undoubtedly prove that Lucy Letby was murdering babies in COCH NICU?

Did it meet that threshold?

This is what we are at, essentially.

Also: People say, that the babies were monitored every hour. Here:

We KNOW they were being monitored. During the long trial there was plenty of evidence submitted, showing the medical logs and observation notes, detailing the babies vital signs, feedings,, and any symptoms or changes, every hour, 24/7. We saw EVIDENCE that they were closely monitored.

(And true, there is the bare minimum needed for NICU. Nothing super, tbh.)

However, given that the baby is constantly attached to different probes, sensors, devices…wouldn’t LL’s (allegedly) murderous activity be registered somewhere? On the recordings from these devices? At least once? Was there any “event” indicating a nurse, essentially, murdering a baby in the unit? Nothing on tons and tons of documents? No blip?

All we have is subjective testimony of Dr. Jayaram indicating a critical event with Baby K and Lucy not making him aware of it…but now, he says that he was wrong with this statement? Meaning, he is not an independent observer but a subjective witness with memory issues?

But, human groups are subjective. All that is asked for is objectivity from “I have a suspicion” to the burden of proof.

The problem is, the whole case is so post factum. Nothing was caught in 2015-16. And, true, memories fade (only “I don’t remember” is an expected answer as opposed to “etched in my memory”.)

Objectively, though, it has contributed to science already. Endocrinology. Pancreatic activity in preterm neonates. Lots of interesting articles published on the scientific side. A very sad case, and horrible for the parents. However, specifically for this reason: no one should be allowed to bend the truth.
 
  • #971
“ the very smart and measured voices “ ?
Not sure about that !
 
  • #972
richard gills a very smart voice, a mathematician no less. not quite sure id call it measured. doesnt mean hes right.
 
  • #973
So, I watched the documentary after all.

It was mostly all stuff that has been discussed at length before. Yes, I get it, you can look at a piece of circumstantial evidence and say ...well, look here, this isn't evidence of murder... and, yes, that's true, obviously. As others have pointed out, though she wasn't convicted on just one or two pieces of evidence. She was convicted on the weight of huge numbers of pieces of evidence.

Not a single piece of "evidence" mentioned in the documentary was truly "new" evidence in the sense of it not being known about at the time of her trial. I have to say that there were some good points made in relation to the insulin evidence and the test which was used to obtain it. The general thrust was that that particular test was not good enough to be used to the criminal standard.

That is not new evidence, though, and the defence could have brought that up. If a TV company can find experts to call it into question then so could a defence barrister, especially one of the character and experience of Ben Myers.

Also, yet again, they are claiming that "bad statistics" were employed as regards the shift pattern chart. No statistical fact or meaning was ever claimed by the prosecution in relation to that chart. It was simply a chart to demonstrate coinciding events - nothing more! The jury were free to place whatever weight they chose onto it. The statistician woman also trotted out the aged ....well, they didn't include the deaths and collapses that she wasn't there for..., which is a redundant argument because the only matters at hand are the cases she's charged with! And, as before, the defence were free to challenge that piece of evidence along those lines and chose not to do so.
 
  • #974
@Tortoise, perhaps it was.

Everything that has been discussed so emotionally here, including Lucy’s affect and the agreement/disagreement between the experts all of it fails to answer the main question, IMHO.

The main question still stands: did the operation Hummingbird and the very expensive trial case undoubtedly prove that Lucy Letby was murdering babies in COCH NICU?

YES. That question, "Did the Operation Hummingbird and the trial undoubtedly prove that Nurse Letby was murdering the babies?" Yes, according to the jury, she was proven GUILTY as charged.
Did it meet that threshold?
Yes, it did meet that threshold.
This is what we are at, essentially.

Also: People say, that the babies were monitored every hour. Here:



(And true, there is the bare minimum needed for NICU. Nothing super, tbh.)

However, given that the baby is constantly attached to different probes, sensors, devices…wouldn’t LL’s (allegedly) murderous activity be registered somewhere? On the recordings from these devices? At least once? Was there any “event” indicating a nurse, essentially, murdering a baby in the unit? Nothing on tons and tons of documents? No blip?
Her murderous activity was registered in various ways. Too many details to type out here. But those medical logs, and various x-rays, and eye witness testimony, and the defendants own falsified observation notes, shows evidence of various medical 'events' which were highly unusual and sudden and unexpected.
All we have is subjective testimony of Dr. Jayaram indicating a critical event with Baby K and Lucy not making him aware of it…but now, he says that he was wrong with this statement? Meaning, he is not an independent observer but a subjective witness with memory issues?

But, human groups are subjective. All that is asked for is objectivity from “I have a suspicion” to the burden of proof.

The problem is, the whole case is so post factum. Nothing was caught in 2015-16. And, true, memories fade (only “I don’t remember” is an expected answer as opposed to “etched in my memory”.)

Objectively, though, it has contributed to science already. Endocrinology. Pancreatic activity in preterm neonates. Lots of interesting articles published on the scientific side. A very sad case, and horrible for the parents. However, specifically for this reason: no one should be allowed to bend the truth.
YES, no one should be allowed to bend the truth. And Nurse Letby tried so much bending that it finally caught up with her, IMO.
 
  • #975
You seem content to bury your head in the sand and pretend that Dr Evans hasnt

Dr Evans was not there either. The witness testimony contains no direct evidence whatsoever, it’s all just surmise based on Dr Evan’s harebrained botched theories that changed every five minutes depending on when Letby was on shift.

Then he beclowns himself in response to the experts’ findings by sounding as though he doesn’t even understand the scientific method.

Let me get this straight: So they all KNEW something was wrong; the pathologists at the time couldn’t find any evidence of harm; and yet we’re to believe this case doesn’t absolutely turn on statistical illiteracy?

There is not one piece of evidence that stands on its own as remotely convincing. But if you smoosh enough he-said-she said equals lying and manipulating along with a spike in deaths at a poorly performing and overstretched hospital, I’m sure that’s convincing to some. It’s not convincing to very many remaining intelligent people who all say that every part of this case is fatally flawed. I’m sure you can find a tobacco industry lobbyist charlatan from the Daily Mail to say anything, but all the very smart and very measured voices are lining up on one side of this and the projection is starting to to look really hollow.

Anyway, I’ve done my bit to try and make people think critically and look at the actual evidence as it now stands.

Everyone has a responsibility here but not everyone seems capable of adjusting their beliefs when new evidence comes to light.

It must be very hard for you to accept that there is no new evidence and that Letby will not be released from prison and will more than likely face further charges.

JMO
 
  • #976
It must be very hard for you to accept that there is no new evidence and that Letby will not be released from prison and will more than likely face further charges.

JMO

But you don't know that, do you?
 
  • #977
But you don't know that, do you?
We know that there is no new evidence.

No one has presented anything that meets the test of "new" evidence.

Besides, the test is not merely "new" evidence; it must be "compelling new evidence which would likely lead a jury to arrive at a different decision were it known about, or could have been known about, at the original trial.", or words to that effect.
 
  • #978
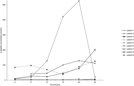
How is “the insulin c-pep ratio is only applicable to older children and adults, and does not hold true for premature babies” not new evidence?
 
  • #979

Premature babies do have a weird blood glucose/insulin thing that goes on.

My question is if the insulin hangs about longer due to this and this alone why don't ALL premature babies crash with very low blood sugar as this is what that explanation seems to suggest. The insulin binds to antibodies that results in naturally high levels of insulin without the high c peptide as it is already out of the system. This in turn should manipulate the infants glucose levels down to a point of collapse IN ALL CASES.

Clearly this doesn't happen, I am sure there is the occasional case here and there but the COCh seems to have again been very unluky with the number they suddenly and unexpectantly had. Along with the number of air embolism cases (which is even rarer) this is a very unlucky hospital indeed unless of course there is a psychopathic murderous nurse on the staff.
 
  • #980
The Letby PR machine, (whoever's interests they really represent, and I can think of a few contenders) is taking advantage of the fact that the trial was so very poorly covered in the media, and therefore the true facts about all the evidence that convicted her are not known by most journalists. They have taken what is being said by certain ignoramuses as gospel, and are just picking up on a trail of lies being fueled by people who have been privately and publicly damaged by Letby, IMO.

It's no accident that these stories are rolling out in bursts, and in tandem, filled with one-sided garbage. LL is the last person on earth this is going to help, but someone is hoping to benefit from it.

IMO
 

Guardians Monthly Goal

Members online

Online statistics

Members online
158
Guests online
2,418
Total visitors
2,576

Forum statistics

Threads
638,917
Messages
18,735,181
Members
244,555
Latest member
FabulousQ
Back
Top