GUILTY Canada - Marie-France Comeau, 37, & Jessica Lloyd, 27, slain, Ont, 2009 & 2010 - #4

Status
Not open for further replies.
  • #621
I have not seen anything written as far as how long he was actually present in Marie's house. How many hours was she forced to endure?

There were referenes today to 9:27 am and 3:30 am, but not the dates. I am unsure, but the Statement of Facts should give a better indication tomorrow.

In the Charges PDF against Williams, it lists Marie France died sometime between September 24th and September 25th. I would link it here, but only have a saved copy, and I can't find the original PDF on CBC's website. I don't know how to post a pdf.
 
  • #622
I love it when lawyers (and any person richer than me) say they don't do it for the money.....And then you read:

"RobsonDan:
The Porsche Cayenne that Col. Williams' lawyers arrived in has been towed for being parked in a fire route. #ColRW ".....

That's a pretty nice ride. With a pretty big price tag.

Hope he is charging RW through the nose.

what a pompous a**hole that lawyer is..figures he is above the law parking in a fire zone....
 
  • #623
OMG..if he did that to Marie France in those hours, can you just imagine how much Jessica suffered if we are to believe she was held for several days..I can understand why the family left the court house..
 
  • #624
According to this, I think the timeline goes:

-broke in the 24th

-By the next morning, at 9:37 a.m., she is still struggling to get out of the ropes.

-The video stops. It's about 3:30 a.m. (on November 25th)

It was released earlier, that there were indications Marie France was bound downstairs for a prolonged amount of time. :(
 
  • #625
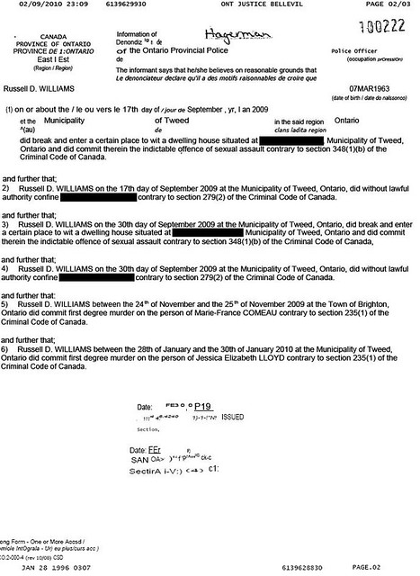
I saved Williams Charges as a JPG, here they are:

5097339254_800172a4a0_z.jpg
 
  • #626
  • #627
1:18 Dan Robson: Carolyn Troke came out of the court at lunch with a sick look on her face. She had just heard the terrible details of the murder of Marie-France Comeau.
Troke, who lived six doors down from Williams' cottage in Tweed, said the violence was much worse than she had been led to believe by initial police reports.
"There were a lot of details that they didn't put out, which I guess they should have, because it was awful." It was strange for her to see her former neighbour slumped in the prisoner's box. "It's so awful just to see him sitting there," she said. "He didn't lift his head once, I don't think." Troke said she feels "weird," but planned to return for the afternoon session.

http://www.thestar.com/news/article/877558
 
  • #628
  • #629
  • #630
It looks her her brother Andy and her mother, Roxanne, are not here. They left courtroom, looking upset, at morning recess

http://www.thestar.com/news/article/877558

Can't say I blame them....I understand they have already seen all the evidence that will be presented. My heart goes out to them and all the victims and their families
 
  • #631
  • #632
  • #633
I'm gonna let this thread go just a little longer and then will open a new one. I don't want to interrupt the flow.

Salem
 
  • #634
  • #635
  • #636
  • #637
  • #638
  • #639
BBM: Here is a lie by RW, he just noticed her the day before her abduction.

Greg McArthur - She lived alone on a rural stretch of highway between Tweed and the city of Belleville. Williams broke into the house before he attacked in order to determine she was alone.

Greg McArthur - Williams and Lloyd did not know each other. The colonel told police he first noticed her on a treadmill exercising in her basement on Jan. 27, the day before she disappeared. The Crown says he is doubtful of that, because Ms. Lloyd's treadmill was in the basement of her home.

http://mobile.coveritlive.com/mobile.php?option=com_mobile&task=viewaltcast&altcast_code=e5293dee2c
 
  • #640
1:42 smithjoanna: Aerial photo of Lloyd's house taken during disappearance shows line of cars on road from family, friends, searching for her. #ColRW [via Twitter]

Tuesday October 19, 2010 1:42 smithjoanna
1:43 smithjoanna: RW broke into her house (again). Surprised her at bedroom door. Covered her eyes with duct tape. He took photos. [via Twitter]

http://www.thestar.com/news/article/877558
 
Status
Not open for further replies.

Guardians Monthly Goal

Members online

Online statistics

Members online
59
Guests online
2,793
Total visitors
2,852

Forum statistics

Threads
638,876
Messages
18,734,253
Members
244,544
Latest member
mmmock97
Back
Top