Canada, Greenland, Mexico, etc - USA Tariffs / Trade War commencing March 2025 #4

Status
Not open for further replies.
  • #541
It has always been just a matter of time before the two parted ways.
Tariffs price the Tesla out of the market when it's already struggling against cheaper Asian vehicles.
 
  • #542
Tariffs price the Tesla out of the market when it's already struggling against cheaper Asian vehicles.

Indeed. It has always been only what's in the best interest of Musk.
moo
 
  • #543

BRUSSELS — European Union countries will seek to present a united front in the coming days against U.S. President Donald Trump’s tariffs, likely approving a first set of targeted countermeasures on up to $28 billion of U.S. imports from dental floss to diamonds.

[…]

The European Commission, which coordinates EU trade policy, will propose to members late on Monday a list of U.S. products to hit with extra duties in response to Trump’s steel and aluminum tariffs rather than the broader reciprocal levies.

It is set to include U.S. meat, cereals, wine, wood and clothing as well as chewing gum, dental floss, vacuum cleaners and toilet paper.

One product that has received more attention and exposed discord in the bloc is bourbon. The Commission has earmarked a 50% tariff, prompting Trump to threaten a 200% counter-tariff on EU alcoholic drinks if the bloc goes ahead.
Didn't Trump already put a tariff on French wine? He claimed that champagne can be made in the USA ... like a true know-nothing-about-champagne man.

Will the USA consumer agree that they French wine will be banned from restaurants? I hope the EU goes ahead with tariffs. Let the people of the USA have their say.

"US President Donald Trump has threatened a 200% tariff on any alcohol coming to the US from the European Union (EU) in the latest twist of an escalating trade war.

The threat is a response to the EU's plans for a 50% tax on imports of US-produced whiskey as part of its retaliation to Trump's tariffs on all steel and aluminium imports to the US."

March 2025
 

Attachments

  • 1743972581847.webp
    1743972581847.webp
    23.2 KB · Views: 6
  • #544
Indeed. It has always been only what's in the best interest of Musk.
moo
He has no problem deleting jobs, environmental safeguards, nuclear safety scientists and so much more, but put a tax on his car and finally he has a reaction.
 
  • #545
Didn't Trump already put a tariff on French wine? He claimed that champagne can be made in the USA ... like a true know-nothing-about-champagne man.

Will the USA consumer agree that they French wine will be banned from restaurants? I hope the EU goes ahead with tariffs. Let the people of the USA have their say.

"US President Donald Trump has threatened a 200% tariff on any alcohol coming to the US from the European Union (EU) in the latest twist of an escalating trade war.

The threat is a response to the EU's plans for a 50% tax on imports of US-produced whiskey as part of its retaliation to Trump's tariffs on all steel and aluminium imports to the US."

March 2025
yes, i think it’s because the plans have been in the making for a while! with all the EU countries having to agree i guess it takes a little longer, and hopefully they will agree on the final list on monday

i also didn’t realise at first but this is the EU’s reaction to trumps earlier tariffs on aluminium and steel, and the reaction to past week’s announcement of the 20% tariff on everything will follow probably in a couple of weeks.

there is talk from EU politicians about eventually (if things keep getting worse) targetting US tech and services because that’s a big export product from the US to the EU, but it’s tricky because we don’t have our own alternatives in place yet. but i think becoming less dependent on US tech has become an important focus point now.
 
  • #546
yes, i think it’s because the plans have been in the making for a while! with all the EU countries having to agree i guess it takes a little longer, and hopefully they will agree on the final list on monday

i also didn’t realise at first but this is the EU’s reaction to trumps earlier tariffs on aluminium and steel, and the reaction to past week’s announcement of the 20% tariff on everything will follow probably in a couple of weeks.

there is talk from EU politicians about eventually (if things keep getting worse) targetting US tech and services because that’s a big export product from the US to the EU, but it’s tricky because we don’t have our own alternatives in place yet. but i think becoming less dependent on US tech has become an important focus point now.
Yes, have been reading similar about targeting the tech. Also, how EU is considering using the ACI - hasn't been used yet

Little bit about it for anyone interested ( is interesting jmo, it also allows them to target specific people and companies if found to be meeting certain criteria)

Moo
ebm
 
Last edited:
  • #547
This really is becoming more and more like a Monty Python skit.
 
  • #548
And which state do you reside?
I do think where folks come from is valuable on this thread. I do want to follow where th3ere is protest activity......... and wonder when or if we are going to see "trump's army" start to appear.

We know where some of our great voices on this thread are: Australia, Canada, UK..... so do think it will be good to dissect where US voices come from. We are so diverse: farmland, auto manufacturing, heavy Federal support environments,
I am in NY, but spent much much time in VT and other New England states, so voices around me are much more left leaning. I recently left Florida where voices are soooooooooo different.
I'm in Western North Carolina, where my children and I have lived for 31 years. Before that we lived in South Florida where my brother and sisters still live for 36 years. I can barely deal with going to visit anymore. Our politics are extreme opposites.
 
  • #549
yes, i think it’s because the plans have been in the making for a while! with all the EU countries having to agree i guess it takes a little longer, and hopefully they will agree on the final list on monday

i also didn’t realise at first but this is the EU’s reaction to trumps earlier tariffs on aluminium and steel, and the reaction to past week’s announcement of the 20% tariff on everything will follow probably in a couple of weeks.

there is talk from EU politicians about eventually (if things keep getting worse) targetting US tech and services because that’s a big export product from the US to the EU, but it’s tricky because we don’t have our own alternatives in place yet. but i think becoming less dependent on US tech has become an important focus point now.
Trump probably thought he got away with the first tariff. A methodical response requires time - something that is beyond Trump's comprehension. His way is to pop out some chatbot tariff trade deficit numbers, slap a tariff on birds, go golfing.

Here's a recent article about the EU very slowly transitioning to local tech.

"Among the companies approached are email providers, storage services and platforms that offer the ability to collaborate on documents. ... But experts and politicians have been warning for some time about the strong digital dependency on the United States.
...

Okano-Heijmans concluded a year ago that European alternatives are urgently needed "if we want to keep our digital security even a little bit in our own hands". She is not surprised that this idea has become more prevalent among Europeans since the re-election of Donald Trump.

Customers are ditching US tech companies for European alternatives
 
  • #550
"The UK’s Jaguar Land Rover has suspended exports to the US after the controversial tariff was introduced last week.

British sports car maker Lotus has reportedly told customers that “no more Emira (sports cars) will be shipped to the US at this point

Nissan has stopped taking orders for Infiniti SUVs made in Mexico

Stellantis, the parent company to Jeep and Dodge, has suspended production at a Canadian plant on the border with the US

Lamborghini chief executive Stephan Winkelmann says the company is working on different scenarios and preparing for the idea that the trade war could reduce business volumes and margins

"“There is a maximum limit within which to dump duties on customers: from there on, you give up margins. We have to see how our competitors behave and how US customers react. There are risks to our volumes" "

Automotive brands are taking swift action after Donald Trump’s aggressive tariff rampage, even suspending exports to the US.
 
  • #551
"The American age is coming to an end after 80 years and nine months and will be replaced by something that may be better.

We don't yet know what that new world looks like, and the journey there is likely to be painful, especially for America.

But the train has left the station — not just because of the tariffs unveiled on April 2, but because Donald Trump has smashed the global system of alliances and co-operation, led by the United States, that has been in operation since the Bretton Woods conference of July 1944.

The US government is now having a kind of break with reality.
  • Australia can't agree to drop its 10 per cent tariff on American imports because it doesn't exist
  • The second thing is that Trump's demands won't be confined to trade. He wields tariffs as an all-purpose weapon to get other countries to do his bidding because he sees all negotiations as nothing more than expressions of power and competitive bullying
  • And third, the tariffs are based on a mistaken view of how the economics of modern trade works"
America is having a break with reality on tariffs. The world will move on to a new order
 
  • #552
This video from Meidas Network has some good comprehensive shots of the protests. It gives a good idea of just how massive they were.

Meidas Touch is excellent!
 
  • #553
Trump tariffs based on massive error, conservative think tank says

One of the variables relates to the "elasticity of import prices with respect to tariffs," which is to say, how much import prices move as tariffs are applied.

But the AEI paper says they used the wrong value for import prices, and instead used the value for a retail price, or what happens to the final consumer price after the good is imported and distributed.

Corinth and Veuger write that if the tariffs had been calculated correctly, with the same ultimate goals in mind but using the right kind of elasticity figure, the levy on a country like Vietnam would have been 12.2% and not 46%.
 
  • #554
I guess we won't be "wonderful people, and wonderful everything" (Trump's words - link) any more, once Trump reads this ...

"Support for Prime Minister Anthony Albanese’s Labor government has risen to its highest point in 11 months ahead of a vote on May 3, against a backdrop of President Donald Trump’s reciprocal tariffs sent Australia’s trade-sensitive markets in a tailspin on April 4.

Polls show that Australians deeply dislike Mr Trump, with a Redbridge poll released in March finding 59 per cent of those surveyed saying they had an unfavourable impression of the US leader. "

 
Last edited:
  • #555
Yes, have been reading similar about targeting the tech. Also, how EU is considering using the ACI - hasn't been used yet

Little bit about it for anyone interested ( is interesting jmo, it also allows them to target specific people and companies if found to be meeting certain criteria)

Moo
ebm
Thank you! Not sure whether I understand this correctly, but it sounds like the Anti-Coercion Instrument is a last resort. Once implemented, a diplomatic effort is made first. If that fails, an economic response is justified. That response requires agreement that is not always easy to obtain.

It sounds like tariffs on USA alcohol that might lead to extreme tariffs on EU wine and spirits is difficult to achieve at this time. Personally, I think that a 200% tariff on French wine will have the entire USA upset, and that a tariff like that will not last long. California wine is okay, but it's not a replacement for EU wine.

"If an implementing act were adopted, it would then be for the Commission to take the diplomatic initiative by requesting that the third country cease the economic coercion immediately and repair the injury, and by starting a consultation phase with the third country concerned. If diplomatic efforts were to fail, the Commission would then be able to adopt any measures deemed necessary and in the overall EU interest."
same link
 
  • #556
Given the abuse that T dishes out on his own people, and given his obvious unfaithfulness, I believe that Mrs T has some difficult things to endure.

So…. what first attracted you to the billionaire Donald Trump?”

- Mrs Merton (kinda) 1995
 
  • #557
  • #558
Trump tariffs based on massive error, conservative think tank says

One of the variables relates to the "elasticity of import prices with respect to tariffs," which is to say, how much import prices move as tariffs are applied.

But the AEI paper says they used the wrong value for import prices, and instead used the value for a retail price, or what happens to the final consumer price after the good is imported and distributed.

Corinth and Veuger write that if the tariffs had been calculated correctly, with the same ultimate goals in mind but using the right kind of elasticity figure, the levy on a country like Vietnam would have been 12.2% and not 46%.
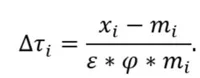
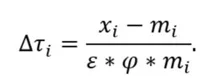
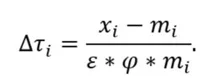
When it was suggested that the USA government used AI to generate their tariff trade deficit numbers, the USA government published this formula. I guess they don't know what to do with the Greek letters either.
1743981441367.webp
 
  • #559
When it was suggested that the USA government used AI to generate their tariff trade deficit numbers, the USA government published this formula. I guess they don't know what to do with the Greek letters either.
View attachment 577085
The two Greek letters on the right cancelled each other out, which they weren't supposed to do.
 
  • #560
The two Greek letters on the right cancelled each other out, which they weren't supposed to do.
It is obvious that no time or thought was put into the "reciprocal tariff" number before it was printed and handed out at Trump's big Carpet Bomb Tariff event. He was such a show-off, pretending that he was doing something that made sense. Everything he said at the event was nonsense, and what he handed out was silly nonsense. The formula made even less sense.

He said something about the USA being allowed to sell a small quart of milk to Canada and then the tariff is 275-300%. Which is it? 7.5%, per all documentation, or some other changing number? He said that the USA subsidizes Canada in the amount of $250 billion annually. The trade deficit, due to the USA purchasing oil from Canada, was $63 billion last year. There is no subsidy. Pure nonsense ... with tariffs on seals, birds and penguins.

The USA looks foolish. Trump isn't used to being fact checked by non-USA citizens.
 
Last edited:
Status
Not open for further replies.

Guardians Monthly Goal

Staff online

Members online

Online statistics

Members online
91
Guests online
1,829
Total visitors
1,920

Forum statistics

Threads
636,515
Messages
18,698,346
Members
243,721
Latest member
jamihuntwilliams
Back
Top